EasyManua.ls Logo

Bose FreeSpace DS 40SE - Preparing the wire for direct mount with on-wall wiring; Forberedelse af ledning til direkte montering med ledninger på væggen; Vorbereitung des Kabels auf die direkte Montage mit Überputz- Verkabelung; Preparación del cable para montaje directo con cableado sobre la pared

Bose FreeSpace DS 40SE
32 pages
Print Icon
To Next Page IconTo Next Page
To Next Page IconTo Next Page
To Previous Page IconTo Previous Page
To Previous Page IconTo Previous Page
Loading...
13
Mounting the Bracket
Preparing the wire for direct mount
with on-wall wiring
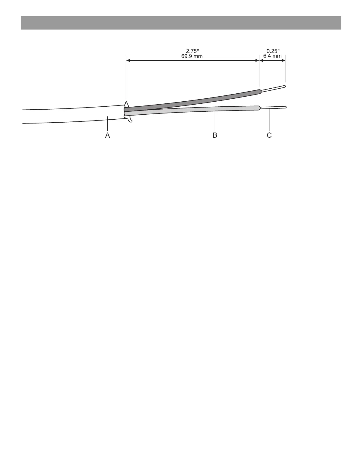
Trim back the outer jacket (A) and some of the wire insulation (B) to
expose enough bare wire (C) to attach to the terminals.
Note: If mounting the loudspeaker bracket directly to a wall with on-wall
wiring, leave enough jacket on the wire to allow it to be held in place with
the strain relief clamp. See page 14 for more information about direct
mount with on-wall wiring.
Forberedelse af ledning til direkte
montering med ledninger på væggen
Beskær bagsiden på det ydre stik (A) og noget af ledningens isolation
(B) for at få vist nok ledning (C) til at fastgøre til terminalerne.
Bemærk: Hvis højttalerens beslag skal monteres direkte på en væg med
ledningssæt i væggen, skal der være nok kappe på ledningen til at holde
den på plads med spændingsklemmen. Se side 14 for at få flere
oplysninger om direkte montering på væggen.
Vorbereitung des Kabels auf die
direkte Montage mit Überputz-
Verkabelung
Entfernen Sie die äußere Umhüllung (A) und einen Teil der Isolierung
(B), um genügend Leiterdraht (C) für den Anschluss an die
Anschlüsse freizulegen.
Hinweis: Wenn Sie die Lautsprecherhalterung direkt an einer Wand mit
Über-Putz-Verkabelung anbringen, lassen Sie genügend äußere
Umhüllung um den Leiterdraht, damit er mit dem Zug-Schutz fixiert
werden kann. Weitere Informationen zur direkten Wandmontage mit Über-
Putz-Verkabelung finden Sie unter Seite 14.
Preparación del cable para montaje
directo con cableado sobre la pared
Pele el recubrimiento exterior (A) y parte del aislamiento del cable (B)
para dejar al descubierto suficiente cable desnudo (C) para conectar
a los terminales.
Nota: Si desea montar el soporte del altavoz directamente a una pared
con cableado sobre la pared, deje suficiente recubrimiento en el cable
para mantenerlo fijo con la pinza de anclaje. Consulte la página 14 si
desea más información sobre el montaje con cableado sobre la
pared.
Préparation du câble pour montage
direct avec câblage sur le mur
Dénuder la gaine externe (A) et une partie plus courte de l’isolant
des fils (B) afin d’exposer la longueur
de fil nu (C) nécessaire au
branchement.
Remarque : Si le support d’enceinte est monté directement sur le mur
avec le câblage apparent, laisser suffisamment de gaine externe en place
pour enserrer celle-ci dans la languette anti-traction. Pour plus
d’informations sur le montage mural direct avec câblage en surface,
voir page 14.
Preparazione del cavo per il montaggio
diretto con cablaggio a parete
Tagliare la guaina esterna (A) e parte della guaina isolante del cavo
(B) fino a esporre una porzione di cavo sufficiente (C) per il
collegamento ai terminali.
Nota: Se si esegue il montaggio della staffa del diffusore direttamente a
parete con cablaggio a parete, lasciare sul cavo una quantità di guaina
sufficiente per consentire il serraggio del cavo con il serracavo. Per
ulteriori informazioni sul montaggio diretto con cablaggio a parete,
vedere pagina 14.
De bedrading gereed maken bij
rechtstreekse montage met
bedrading op de wand
Verwijder een zodanig stuk van de buitenmantel (A) en de isolatie
rond de draad (B) dat voldoende van de draad (C) vrijkomt om deze
aan de aansluitklemmen te kunnen vastmaken.
Opmerking: Als u de luidsprekerbeugel rechtstreeks op de wand wilt
monteren en daarbij ook de bedrading op de wand wilt plaatsen, moet u
voldoende van de buitenmantel rond de draad laten zitten dat deze vast
blijft zitten in de trekontlasting. Zie pagina 14 voor meer informatie over
rechtstreekse montage met bedrading op de wand.
Förbereda kabeln för
direktmontering på vägg
Skala av en del av det yttre skalet (A) och en del av kabelisoleringen
(B) så att den rena kabeln (C) som ska anslutas kommer fram.
Obs! Om du monterar högtalarkonsolen direkt på väggen med synlig
kabeldragning ska du lämna så pass mycket av ytterhöljet kvar så att
kabeln kan sättas fast med avlastningsklämman. Mer information om
direktmontering med synlig kabeldragning finns på sidan 14.
DS40SE.book Page 13 Friday, March 26, 2010 2:53 PM

Table of Contents

Other manuals for Bose FreeSpace DS 40SE

Related product manuals