EasyManua.ls Logo

Bryant 579F - Page 164

Bryant 579F
298 pages
Print Icon
To Next Page IconTo Next Page
To Next Page IconTo Next Page
To Previous Page IconTo Previous Page
To Previous Page IconTo Previous Page
Loading...
164
PERFORMANCE DATA — 581C
* Single or three phase rooftop unit.
Vertical - Mounted in Economizer Hood
Power Exhaust Part No. Power Exhaust Description
Application
Usage
Power Output
(Hp per fan)
Fans per
PE
CRPWREXH021A01 Power Exhaust System (460-3-60) 036-060 0.24 2
CRPWREXH030A01 Power Exhaust System (208/230-1-60) 036-060 0.23 2
Horizontal - Mounted in Return Ductwork
Power Exhaust Part No. Power Exhaust Description
Application
Usage
Power Output
(Hp per fan)
Fans per
PE
CRPWREXH028A01 Power Exhaust System (208/230-1-60) ALL* 0.48 1
CRPWREXH029A01 Power Exhaust System (460-3-60) ALL 0.48 1
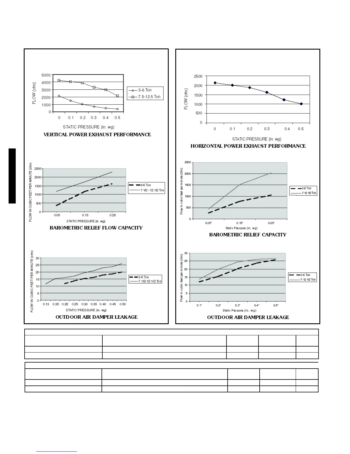
VERTICAL ECONOMI$ER IV AND ECONOMI$ER2
PERFORMANCE DATA
HORIZONTAL ECONOMI$ER IV AND ECONOMI$ER2
PERFORMANCE DATA
581C024-060

Other manuals for Bryant 579F

Related product manuals