EasyManua.ls Logo

Bühler technologies P2.x ATEX - 4.3 Sonderbedingung durch feuchtes Messgas; 4.4 Anschluss der Gasleitungen; 4.4.1 Überwachung der Messgaspumpe; 4.4.1.1 Grundsätzliche Überwachungsmaßnahmen

Bühler technologies P2.x ATEX
Print Icon
To Next Page IconTo Next Page
To Next Page IconTo Next Page
To Previous Page IconTo Previous Page
To Previous Page IconTo Previous Page
Loading...
P2.x ATEX
P2.4 Atex/P2.74 Atex
Zur Montage der P2.4 Atex/P2.74 Atex Messgaspumpe beach-
ten Sie die Montagezeichnung
42/025-Z02-02-2
. Vor Montage-
beginn ist die Messgaspumpe auf Vollständigkeit zu kontrol-
lieren. Es werden noch 6xM6 Schrauben mit Muttern in pas-
sender Länge für die Montage benötigt.
Für alle Pumpentypen kann der Pumpenkopf ausschließlich
0° oder 180° verdreht ausgerichtet werden.
4.3 Sonderbedingung durch feuchtes Messgas
Bei Anwendungen, bei denen das Messgas noch feucht ist,
kann es zur Bildung von Kondensat in Leitungen und im Pum-
penkörper kommen. In solchen Fällen muss der Pumpenkopf
hängend montiert werden (Pumpenkörper zeigt nach unten).
Wenn die Pumpe nicht bereits so bestellt wurde, kann der
Umbau leicht vor Ort erfolgen.
Verlegen Sie die Leitung zwischen Gasausgang und Konden-
satableitung mit Gefälle, damit das Kondensat abfließen kann
und sich nicht in der Pumpe oder den Leitungen sammelt.
4.4 Anschluss der Gasleitungen
Die Pumpen sind mit den von Ihnen gewählten Anschlüssen
versehen. Vergleichen Sie die Artikelnummer auf dem Typen-
schild mit der Artikelnummerstruktur im Kapitel „Einleitung“.
Vermeiden Sie Mischinstallationen, d.h. Rohrleitungen an
Kunststoffkörpern. Sollte dies für vereinzelte Anwendungen
unvermeidlich sein, schrauben Sie die Metallverschraubun-
gen vorsichtig und keinesfalls unter Gewaltanwendung in
den PTFE-Pumpenkörper ein.
Verlegen Sie die Rohrleitungen so, dass die Leitung am Ein-
und Ausgang über eine ausreichende Strecke elastisch bleibt
(Pumpe schwingt).
Die Pumpen sind mit
„In“
für Inlet (Eingang) und
„Out“
für
Outlet (Ausgang) gekennzeichnet. Achten Sie darauf, dass die
Anschlüsse an den Gasleitungen dicht sind.
4.4.1 Überwachung der Messgaspumpe
HINWEIS
Ein Reißen des Faltenbalgs ist bei Einhaltung der vorbeugen-
den Wartungsmaßnahmen nach Wartungsplan nur als selte-
ne Störung anzunehmen, kann aber nicht vollständig ausge-
schlossen werden.
HINWEIS
Bei Reißen des Faltenbalgs ist die Pumpe unmittelbar auszu-
schalten!
HINWEIS
Bei der Förderung brennbarer Gase (auch oberhalb der „Obe-
ren Explosionsgrenze“ (OEG)) oder giftiger Gase, muss im Be-
trieb eine ständige Überwachung der Pumpe erfolgen.
GEFAHR
Explosionsgefahr, Vergiftungsgefahr!
Beim Reißen des Faltenbalgs und der Förderung brennbarer
oder giftiger Gase, können explosive oder giftige Gasgemi-
sche austreten oder entstehen.
Überwachen Sie die Pumpe mittels Durchfluss- und/oder Un-
terdrucküberwachung (siehe Flussschema).
Bei Auftreten eines Defekts an der Pumpe ist diese unmittel-
bar auszuschalten!
4.4.1.1 Grundsätzliche Überwachungsmaßnahmen
Da bei einem
Riss im Faltenbalg
die Umgebungsatmosphäre
angesaugt wird und die Messgaspumpe trotzdem Druck er-
zeugt,
muss der Faltenbalg der Messgaspumpe regelmäßig
kontrolliert werden.
Des Weiteren ist die Fördermenge der Pumpe (nach dem
Messgasausgang) mit einem geeigneten Strömungsmesser zu
überwachen.
Mehr Informationen zur Kontrolle des Faltenbalgs bzw. dem
Wartungsintervall finden Sie im Kapitel Wartung am Ende
der Betriebs- und Installationsanleitung.
4.4.1.2 Überwachungsmaßnahmen bei der Förderung
brennbarer und/oder giftiger Gase
Bei der Förderung brennbarer und/oder giftiger Gase
muss
zusätzlich
im Betrieb eine
ständige
Überwachung der Mess-
gaspumpe erfolgen. Hierzu kann wie folgt vorgegangen wer-
den (1) oder (2).
1. Durchflussüberwachung vor dem Gas Ein- und hinter
dem Gasausgang der Pumpe. Eine plötzliche Reduzierung
der Ansaugmenge / Durchflussmenge vor der Pumpe und
gleichbleibende oder plötzlich erhöhte Fördermenge hin-
ter der Pumpe ist ein Indiz für einen defekten Faltenbalg
(Die Pumpe kann durch den Riss angesaugte Umge-
bungsluft fördern).
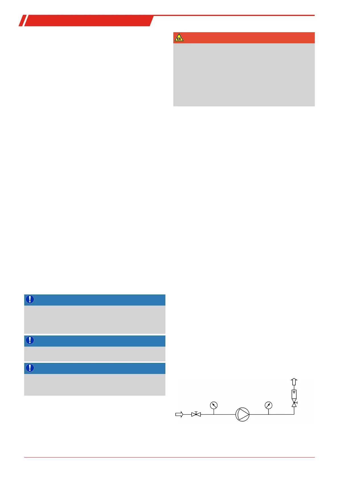
2. Unterdrucküberwachung vor dem Gaseingang und Fluss-
überwachung hinter dem Gasausgang der Pumpe (siehe
Abbildung). Ein plötzlicher Abfall des Unterdrucks vor
dem Gaseingang ist ein Indiz für einen defekten Falten-
balg.
Bei der Förderung von brennbaren Gasen oberhalb der oberen
Explosionsgrenze (OEG) empfehlen wir darüber hinaus eine
Überwachung der unteren Explosionsgrenze (UEG) am Auf-
stellort.
Bei der Förderung giftiger Gase empfehlen wir eine MAK-
Überwachung (MAK: Maximale Arbeitsplatz- Konzentration)
am Aufstellort.
Unterdruck-
Manometer
Messgaspumpe
Manometer
Strömungsmesser
Absperreinheit
Abb.1: Beispiel Flussschema einer geeigneten Überwachung
5Bühler Technologies GmbHBX420002 ◦ 04/2021

Table of Contents

Related product manuals