EasyManua.ls Logo

C&S Electronics WiNmaster 2 - Page 44

Default Icon
61 pages
Print Icon
To Next Page IconTo Next Page
To Next Page IconTo Next Page
To Previous Page IconTo Previous Page
To Previous Page IconTo Previous Page
Loading...
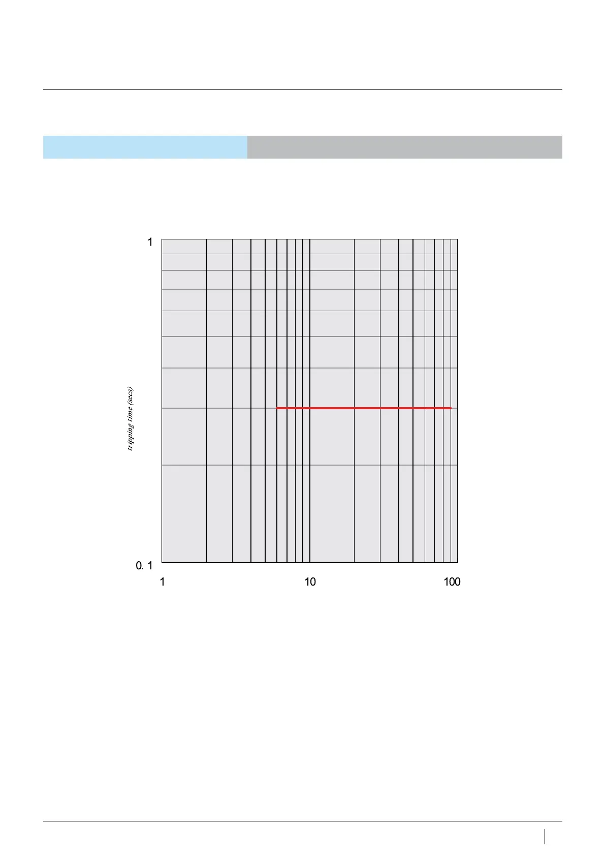
Chart C1
Protection example of reverse time lag
The curve above bases on the set value below:
- Curve type = fast reverse time lag
- Curve speed = C1, C8 and C16
Operation set value of short delay reverse time lag = 3 x Iset
Delay time of short delay fixed time lag set value = 0.3 S
*Ir (long delay set value)
Micropro 2 - 7.1
Chart C2
Protection example of fixed time lag
*Ir (long delay set value)
The curve above bases on the fixed value below:
- Delay time of short delay fixed time lag set value = 6 x Ir
- Delay time of short delay fixed time lag set value = 0.3 S
Micropro 2 - 7.1
44 C&S Electric Limited
45
C&S Electric Limited
Characteristics Curve
Characteristics Curve
W Nmaster 2i
W Nmaster 2i