EasyManua.ls Logo

Carrier 48AJ - Page 6

Carrier 48AJ
160 pages
To Next Page IconTo Next Page
To Next Page IconTo Next Page
To Previous Page IconTo Previous Page
To Previous Page IconTo Previous Page
Loading...
6
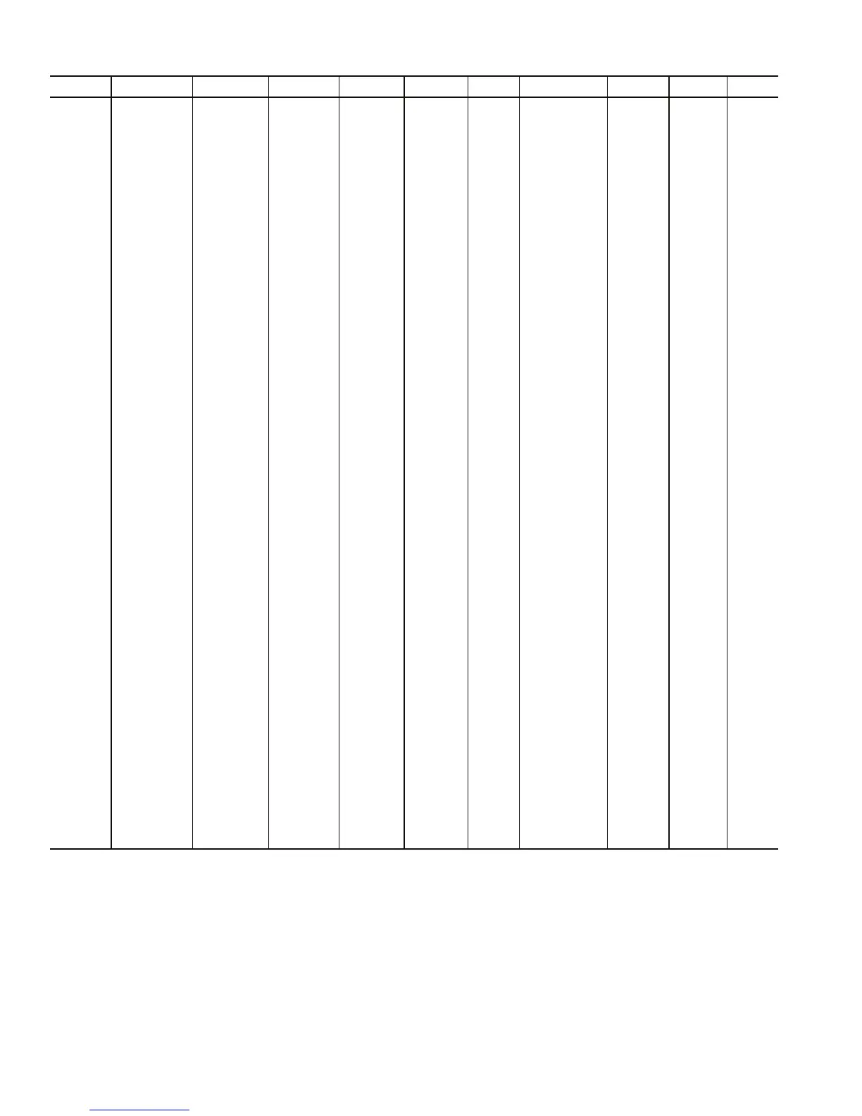
Table 2 — Scrolling Marquee Menu Display Structure
RUN
STATUS
SERVICE
TEST
TEMPERATURES PRESSURES SETPOINTS INPUTS OUTPUTS CONFIGURATION
TIME
CLOCK
OPERATING
MODES
ALARMS
Auto View of
Run Status
(VIEW)
Econ
Run Status
(ECON)
Cooling
Information
(COOL)
Mode
Trip Helper
(TRIP)
CCN
Linkage
(LINK)
Compressor
Run Hours
(HRS)
Compressor
Starts
(STRT)
Timeguards
(TMGD)
Software
Version
Numbers
(VERS)
Service Test Mode
(TEST)
Software
Command
Disable
(STOP)
Soft Stop
Request
(S.STP)
Supply Fan
Request
(FAN.F)
4 in. Filter
Change Mode
(F.4.CH)
Test Independent
Outputs
(INDP)
Te s t Fa ns
(FANS)
Test Cooling
(COOL)
Test Heating
(HEAT)
Air
Temperatures
(AIR.T)
Refrigerant
Temperatures
(REF.T)
Air Pressures
(AIR.P)
Refrigerant
Pressures
(REF.P)
Occupied Heat
Setpoint
(OHSP)
Occupied Cool
Setpoint
(OCSP)
Unoccupied
Heat Setpoint
(UHSP)
Unoccupied
Cool Setpoint
(UCSP)
Heat - Cool
Setpoint
(GAP)
VAV Occ
Cool On
(V.C.ON)
VAV Occ
Cool Off
(V.C.OF)
Supply Air
Setpoint
(SASP)
Supply Air
Setpoint Hi
(SA.HI)
Supply Air
Setpoint Lo
(SA.LO)
Heating Supply
Air Setpoint
(SA.HT)
Tem pe r in g
Purge SASP
(T.PRG)
Tempering in
Cool SASP
(T.CL)
Tempering in
Vent Occ SASP
(T.V.OC)
Tempering in
Vent Unocc.
SASP
(T.V.UN)
General Inputs
(GEN.I)
Compressor
Feedback
(FD.BK)
Thermostat
Inputs
(STAT)
Fire-Smoke
Modes
(FIRE)
Relative
Humidity
(REL.H)
Air Quality
Sensors
(AIR.Q)
Reset Inputs
(RSET)
4-20 Milliamp
Inputs
(4-20)
Fans
(FANS)
Cooling
(COOL)
Heating
(HEAT)
Economizer
(ECON)
General
Outputs
(GEN.O)
Unit
Configuration
(UNIT)
Cooling
Configuration
(COOL)
Evap/Discharge
Temp. Reset
(EDT.R)
Heating
Configuration
(HEAT)
Supply Static
Press. Config.
(SP)
Economizer
Configuration
(ECON)
Building Press.
Configs
(BP)
Cool/Heat
Setpt. Offsets
(D.LV.T)
Demand Limit
Config.
(DMD.L)
Indoor Air
Quality Cfg.
(IAQ)
Dehumidification
Config.
(DEHU)
CCN
Configuration
(CCN)
Alert Limit
Config.
(ALLM)
Sensor Trim
Config.
(TRIM)
Switch
Logic
(SW.LG)
Display
Configuration
(DISP)
Time of Day
(TIME)
Month, Date,
Day and Year
(DATE)
Local Time
Schedule
(SCH.L)
Local
Holiday
Schedules
(HOL.L)
Daylight
Savings
Time
(DAY.S)
System
Mode
(SYS.M)
HVAC Mode
(HVAC)
Control Type
(CTRL)
Mode
Controlling
Unit
(MODE)
Currently
Active
Alarms
(CURR)
Reset All
Current
Alarms
(R.CUR)
Alarm
History
(HIST)

Table of Contents

Related product manuals