EasyManua.ls Logo

Case 9100 Series - Page 8

Case 9100 Series
51 pages
Print Icon
To Next Page IconTo Next Page
To Next Page IconTo Next Page
To Previous Page IconTo Previous Page
To Previous Page IconTo Previous Page
Loading...
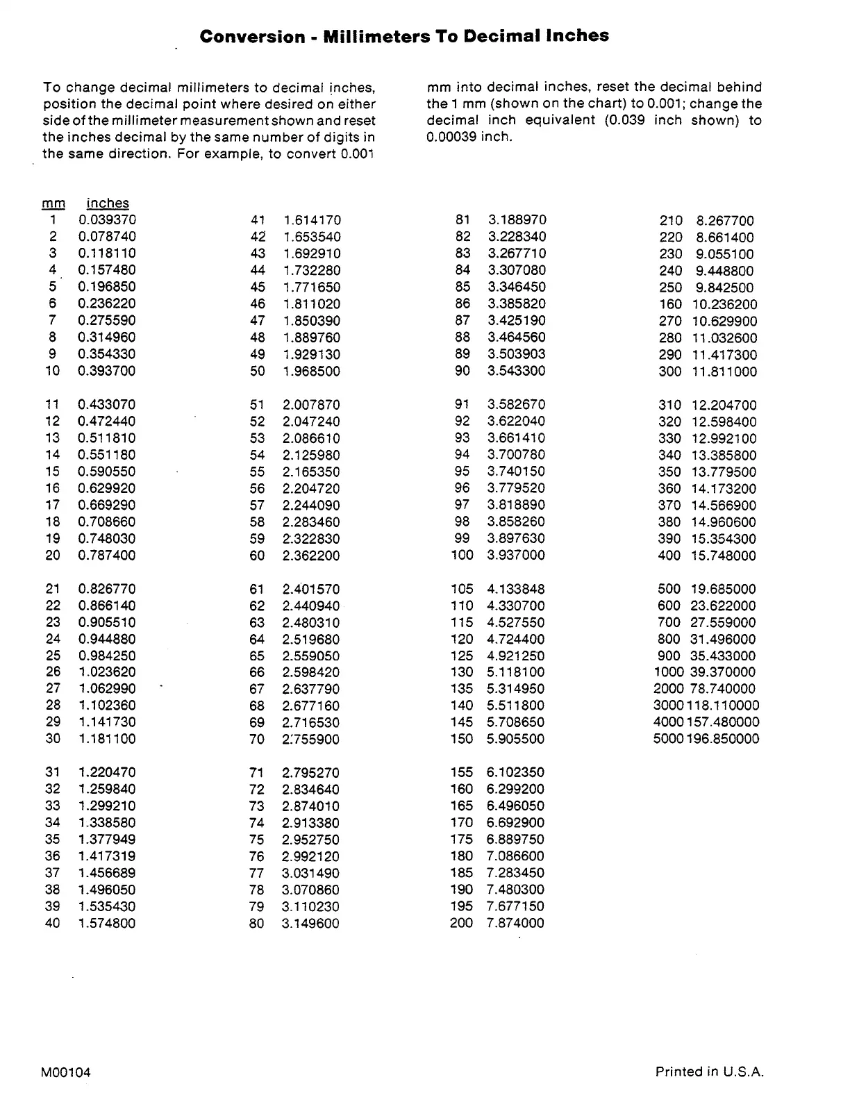
Conversion - Millimeters To Decimal Inches
To change decimal millimeters to decimal inches,
mm into decimal inches, reset the decimal behind
position the decimal point where desired on either
the 1 mm (shown on the chart) to 0.001; change the
side of the millimeter measurement shown and reset
decimal inch equivalent (0.039 inch shown) to
the inches decimal by the same number of digits in
0.00039 inch.
the same direction. For example, to convert 0.001
.!Jl!!!
inches
1
0.039370 41
1.614170
81 3.188970
210 8.267700
2
0.078740
42
1.653540
82 3.228340
220
8.661400
3
0.118110
43 1 .692910
83 3.267710
230 9.055100
4 0.157480
44
1 .732280
84 3.307080
240
9.448800
5 0.196850
45
1.771650
85
3.346450
250
9.842500
6
0.236220
46
1.811020
86 3.385820
160
10.236200
7
0.275590 47
1.850390
87 3.425190
270
10.629900
8 0.314960 48
1.889760
88
3.464560
280 11.032600
9 0.354330
49 1.929130
89 3.503903
290 11 .417300
10
0.393700 50
1.968500
90
3.543300
300 11.811000
11
0.433070
51 2.007870
91
3.582670
310 12.204700
12 0.472440
52
2.047240
92 3.622040
320
12.598400
13
0.511810
53 2.086610
93 3.661410
330 12.992100
14
0.551180
54 2.125980
94 3.700780
340
13.385800
15
0.590550
55
2.165350
95 3.740150
350 13.779500
16
0.629920
56 2.204720
96 3.779520
360 14.173200
17
0.669290
57 2.244090
97 3.818890
370
14.566900
18 0.708660
58 2.283460
98
3.858260
380 14.960600
19 0.748030
59
2·.322830
99
3.897630
390
15.354300
20
0.787400
60 2.362200
100 3.937000
400
15.748000
21 0.826770
61 2.401570
105
4.133848 500 19.685000
22 0.866140
62
2.440940
110
4.330700 600 23.622000
23
0.905510
63 2.480310
115
4.527550
700
27.559000
24
0.944880
64 2.519680
120 4.724400 800
31.496000
25 0.984250
65
2.559050
125 4.92125'0
900 35.433000
26 1.023620
66
2.598420
130
5.118100 1000 39.370000
27
1.062990
67 2.637790
135 5.314950 2000 78.740000
28 1.102360
68
2.677160
140
5.511800
3000 1 18. 110000
29 1 .141730
69 2.716530
145
5.708650
4000 157.480000
30
1.181100
70
2'.755900
150 5.905500 5000 196.850000
31
1.220470
71 2.795270
155
6.102350
32
1.259840
72 2.834640
160
6.299200
33 1.299210
73 2.874010
165 6.496050
34 1.338580
74
2.913380
170 6.692900
35 1.377949
75
2.952750
175 6.889750
36
1.417319
76 2.992120
180 7.086600
37
1.456689
77 3.031490
185
7.283450
38 1.496050
78 3.070860
190 7.480300
39 1.535430
79 3.110230
195 7.677150
40
1.574800
80
3.149600
200
7.874000
M00104
Printed in U.S.A.
Find manuals at https://best-manuals.com

Related product manuals