EasyManua.ls Logo

Casio ZD-1 - Page 18

Casio ZD-1
60 pages
Print Icon
To Next Page IconTo Next Page
To Next Page IconTo Next Page
To Previous Page IconTo Previous Page
To Previous Page IconTo Previous Page
Loading...
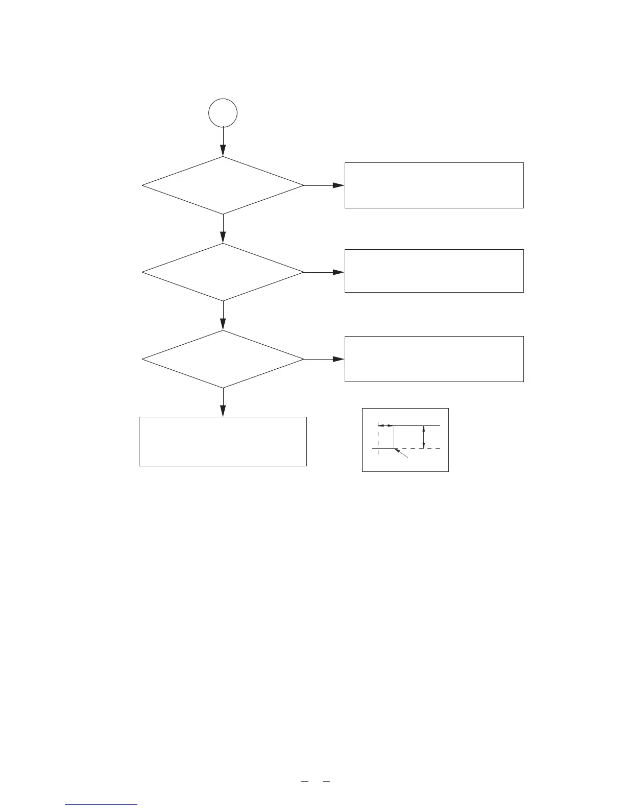
1. “CD OPEN” is not displayed.
16
1
Is +5 V lines pin 72
of IC704 normal ?
No
Yes
* Check IC705.
* Check circuit around IC705.
Is the waveform
at pin 30 of IC704 like that
shown in Fig. 12 ?
No
Yes
* Check Q713.
* Check circuit around IC706.
Does 16 MHz
clock pulse appear at
pin 31of IC704 ?
No
Yes
* Check X703.
* Check circuit around X703.
* Check IC704.
* Check circuit around IC704.
* Check soldering CN705 and FFC.
Figure 12
5 V
Power on
100 mS