EasyManua.ls Logo

ccei PHENIX - System Overview and Functionality; pH Regulation Explained; RedOx Potential Explained

ccei PHENIX
16 pages
Print Icon
To Next Page IconTo Next Page
To Next Page IconTo Next Page
To Previous Page IconTo Previous Page
To Previous Page IconTo Previous Page
Loading...
PHENIX
Technical Manual
v2.0
CCEI
page 3
OVERVIEW
PHENIX is a complete regulation system for salt electrolysis. Combined with a salt
chlorinator, PHENIX regulates its chlorine production and adjusts the acidity (pH) of
the water.
PH
The pH or Hydrogen potential measures the degree of acidity present in water. It is
measured on a scale of 0 to 14. A solution with a pH of 7 is neutral. If it is below 7, the
solution is acidic, above 7 the solution is considered basic or alkaline.
To ensure the comfort of swimmers, the effectiveness of the treatment and reliability
of the installation, the pH of the swimming pool water must be maintained at around 7.
A pH of between 6.8 and 7.6 is generally considered to be correct.
Water that is too acidic (pH <6.8) irritates
the mucous membranes, corrodes
100
90
80
70
60
50
40
30
20
10
0
5.5 6.0 6.5 7.0 7.5 8.0 8.5 9.0 9.5
pH
metal parts and may damage plastic
elements in the pool (liners).
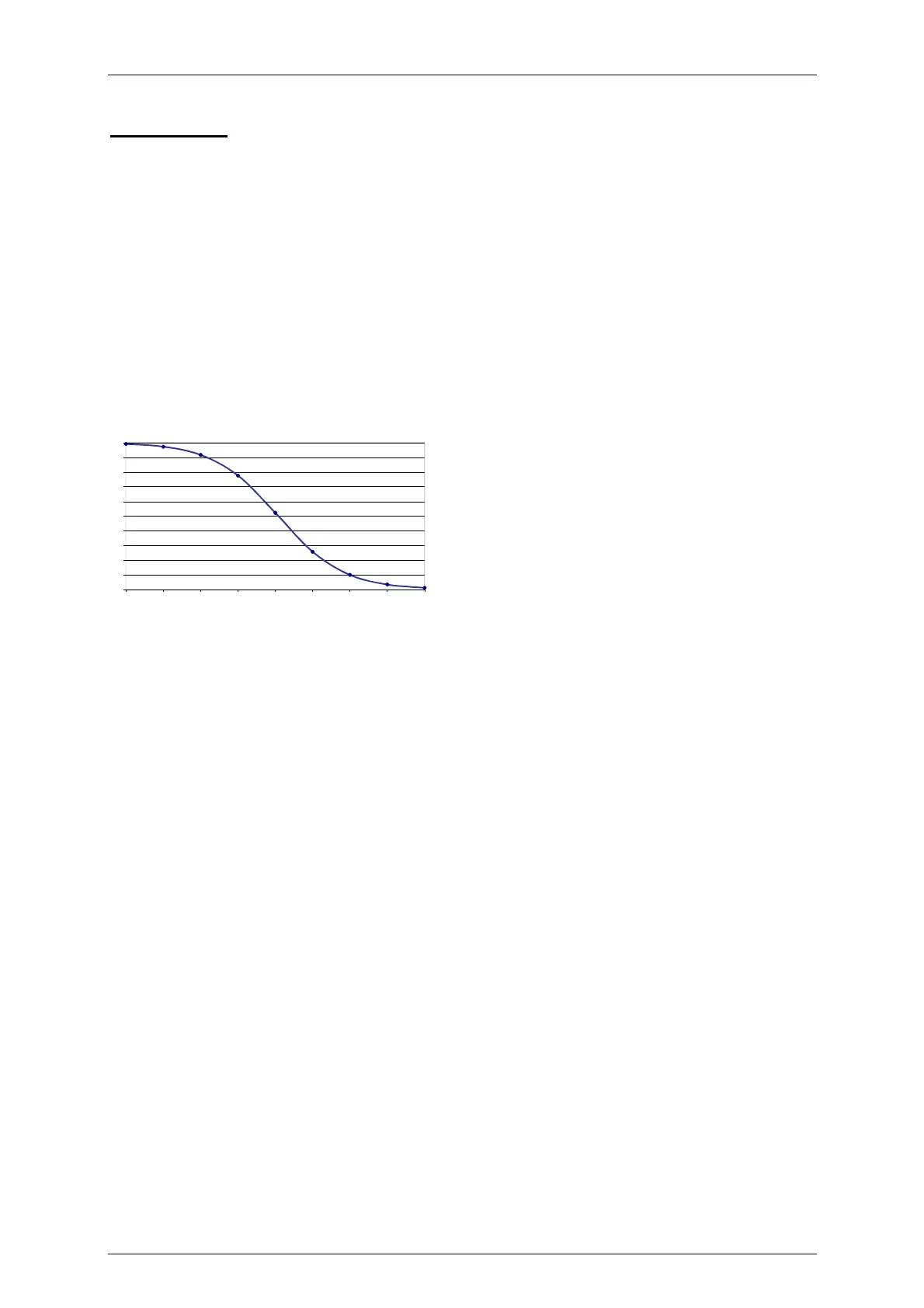
Water which is too alkaline (pH >7.8) can
also be aggressive (caustic) and
considerably reduce the effectiveness of the
chlorine. Thus, when the pH goes from 7.2
to 8.2, the percentage of active chlorine
changes from 70% to 20%.
To ensure the optimum effectiveness of the
treatment, it is therefore essential to
maintain the pH of the water between 7.0 and 7.6.
In addition, the salt chlorinator causes an increase in pH which makes pH regulation
particularly useful.
PHENIX maintains the pH of your pool by injecting a pH correcting solution into the
water as required. The user can configure the PHENIX in pH- mode or in pH+ mode.
In pH- mode, the PHENIX injects PHminus (acid) to lower the pH in the pool and in
pH+ mode it injects PHplus (base) to increase the pH. PHENIX, specifically designed
for swimming pool water, regulates the pH between 6.0 and 8.5.
To reduce the difference with the set point value, regulation is proportional: The dosing
speed increases the greater the difference with the set point value. The injection flow
rate can vary between 0.1 l/h and 0.9 l/h.
REDOX
PHENIX measures the oxidation reduction (RedOx) potential of the water in your pool
and if this potential is below the set threshold, PHENIX activates chlorine production
from a chlorinator.
The salt water chlorinator separates the salt (NaCl) into sodium (Na) and chlorine (Cl).
which immediately dissolves in water to produce hypochlorous acid (HClO). This
powerful disinfectant destroys bacteria and its presence affects the oxidation reduction
potential measured by PHENIX.
This RedOx potential, or ORP (which stands for Oxidation Reduction Potential), is
expressed in millivolts (mV) and gives an indication of the disinfectant capacity of the
water, and thereby the quality of the water in the pool (or its sanitary status). The higher
the potential, the greater the disinfectant power
Active Free Chlorine
%