EasyManua.ls Logo

Cessna 172P - Page 283

Cessna 172P
358 pages
Print Icon
To Next Page IconTo Next Page
To Next Page IconTo Next Page
To Previous Page IconTo Previous Page
To Previous Page IconTo Previous Page
Loading...
PILOT'S OPERATING
HANDBOOK
SUPPLEMENT
12A
R,NAV
(TYPE
ANS-351C)
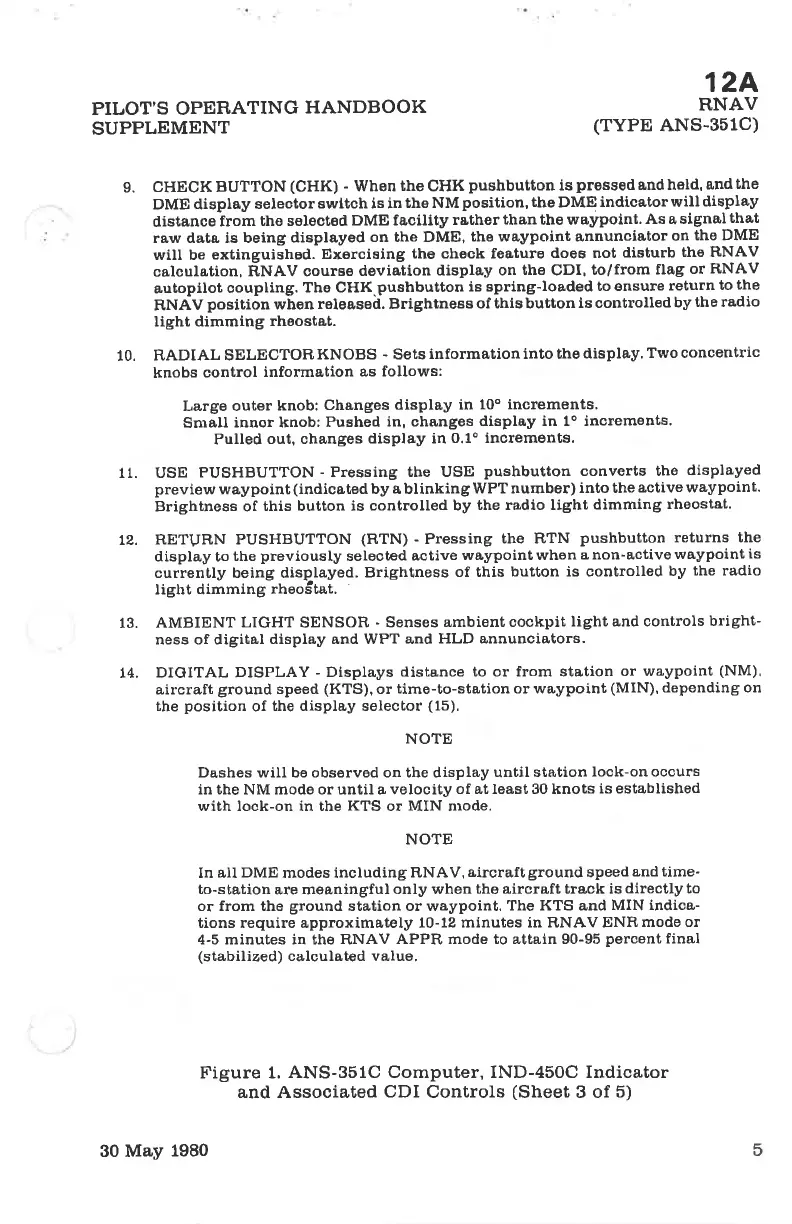
9.
CHECK BUTTON
(CHK) -
When
the
CHK
pushbutton
is
pressed
and held,
and
the
DME display
selector
swltch is in
the NM
position, the
DMEì
indicator will
display
distance
from
tho solected
DME facitity
rather
than
the weypoint.
As a, sÍgna,l
that
ra,w data, is being
displayed
on the DME,
the waypoint arinunci&tor
on
the DME
will be
extinguished.
Exercising
the check fea,ture
does not
dieturb
the IìNAV
calculation,
RNAV course
deviation
display on
the
CDI,
to/from
flag
or
RNAV
a,utopilot
coupling.
The CHK.puslrbutton
is spring-loaded
to ênsure
return
to the
RNAV
position
whon
released. Brightness
of thís button
is controlled
by
the radio
light dimming
rheostet.
10.
RADIAL SELECTOR
KNOBS
-
Sets
information into the
display'
Two concentric
knobs
control
information
as follows:
La,rge outer
knob:
Changes
display in
10" increments'
Small
innor knob:
Pushed
in, changes
display in 1o increments'
Pulled
out, changes
display in
O.1o increments'
11. USE
PUSHBUTTON
-
Pressing the USE
Pushbutton
converts the
displayed
preview
waypoint
(indicated
by a blinking
WPT number)
into the
active waypoint.
Brightness of
this button is
controlled by
the radio light
dimming
rheosts,t.
12.
RETURN PUSHBUTTON
(RTN)
-
Pressing
the RTN
pushbutton
returns the
display to
the
previously
selected
active
waypoint when
a non-activo
waypoint
is
currenüly being displayed.
Brightness
of this
button is controlled
by
the radio
ligtrt dimming
rheo6tat.
13.
AMBIENT
LIGHT
SENSOR
-
Senses
ambient cockpit
light and controls
bright-
ness of digital
display and WPT
a,nd HLD annunciators.
14.
DICTITAL DISPLAY
-
Displays distance
to or from sta,tion
or waypoint
(NM),
aircraft
ground
speed
(KTS),
or
time-to-sta,tion or wa,ypoint
(MIN),
depending on
the
position
of
the display solector
(15).
NOTE
Dashes will be observed on the display until
station
lock-on occurs
in the NM modo or until a velocity
of at least 30 knots
is established
with lock-on in the
KTS
or MIN mode.
NOTE
In aII
DME
modes including
RNAV,
aircraft
ground
speed
8,nd time-
to-station
are meaningful
only when
tho aircraft trs,ck is
directly to
or from the
ground
station or waypoint.
The KTS and
MIN indica-
tions require approximately 10-12
minutes in RNAV ENR
modo or
4-5 minutes in the R.NAV
APPR mode to attain 90-9ã
percent
final
(stabilized)
calculated value.
Figure 1.
ANS-351C Computer, IND-450C Indicator
and Associated
CDI
Controls
(Sheet
3 of
5)
30 May
1980
5

Table of Contents

Other manuals for Cessna 172P

Related product manuals