EasyManua.ls Logo

Comfee MDDN-10DEN7 - Kui Kasutate Seadet; Seadme Kasutamine

Comfee MDDN-10DEN7
Print Icon
To Next Page IconTo Next Page
To Next Page IconTo Next Page
To Previous Page IconTo Previous Page
To Previous Page IconTo Previous Page
Loading...
1 3
SEADME KASUTAMINE
Seadme positsioneerimine
Kui kasutate seadet:
Keldrikorrusel oleval õhukuivatil on vähene või olematu
mõju suletud ruumides, nagu näiteks kapp, juhul kui
pole piisavat õhuringlust hoonest sisse ja välja.
Ärge kasutage seadet välistingimustes
See kuivati on mõeldud ainult siseruumides
kasutamiseks. Seda õhukuivatit ei tohi kasutada
kaubanduslikel või tööstuslikel eesmärkidel.
Asetage õhukuivati siledale, tasasele põrandale, mis
on piisavalt tugev, et toetada seadet täispaagiga.
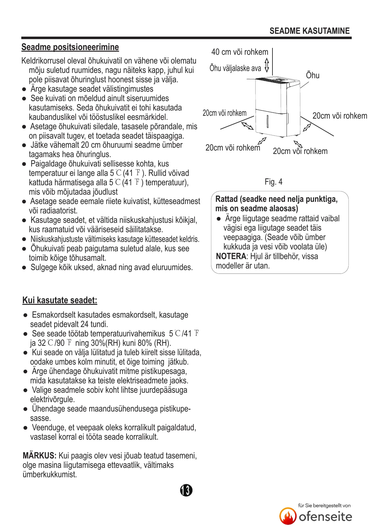
Jätke vähemalt 20 cm õhuruumi seadme ümber
tagamaks hea õhuringlus.
Paigaldage õhukuivati sellisesse kohta, kus
temperatuur ei lange alla 5(41). Rullid võivad
kattuda härmatisega alla 5(41) temperatuur),
mis võib mõjutadaa jõudlust
Asetage seade eemale riiete kuivatist, kütteseadmest
või radiaatorist.
Kasutage seadet, et vältida niiskuskahjustusi kõikjal,
kus raamatuid või vääriseseid säilitatakse.
Niiskuskahjustuste vältimiseks kasutage kütteseadet keldris.
Õhukuivati peab paigutama suletud alale, kus see
toimib kõige tõhusamalt.
Sulgege kõik uksed, aknad ning avad eluruumides.
Esmakordselt kasutades esmakordselt, kasutage
seadet pidevalt 24 tundi.
See seade töötab temperatuurivahemikus 5/41
ja 32/90 ning 30%(RH) kuni 80% (RH).
Kui seade on välja lülitatud ja tuleb kiirelt sisse lülitada,
oodake umbes kolm minutit, et õige toiming jätkub.
Ärge ühendage õhukuivatit mitme pistikupesaga,
mida kasutatakse ka teiste elektriseadmete jaoks.
Valige seadmele sobiv koht lihtse juurdepääsuga
elektrivõrgule.
Ühendage seade maandusühendusega pistikupe-
sasse.
Veenduge, et veepaak oleks korralikult paigaldatud,
vastasel korral ei tööta seade korralikult.
MÄRKUS: Kui paagis olev vesi jõuab teatud tasemeni,
olge masina liigutamisega ettevaatlik, vältimaks
ümberkukkumist.
Rattad (seadke need nelja punktiga,
mis on seadme alaosas)
Ärge liigutage seadme rattaid vaibal
vägisi ega liigutage seadet täis
veepaagiga. (Seade võib ümber
kukkuda ja vesi võib voolata üle)
NOTERA: Hjul är tillbehör, vissa
modeller är utan.
40 cm või rohkem
20cm või rohkem
20cm või rohkem
20cm või rohkem
20cm või rohkem
Fig. 4
Õhu väljalaske ava
Õhu

Table of Contents

Related product manuals