EasyManua.ls Logo

Cooper & Hunter CH-S12FVX - Maintenance; Error Code List

Cooper & Hunter CH-S12FVX
80 pages
Print Icon
To Next Page IconTo Next Page
To Next Page IconTo Next Page
To Previous Page IconTo Previous Page
To Previous Page IconTo Previous Page
Loading...
41
Installation and Maintenance
Service Manual
Malfunction and mode display sheet
Malfunction name Malfunction type Double 8
Display of indicator
Operation
indicator
Cooling
indicator
Heating
indicator
Zero-cross detection circuit malfunction
Hardware
malfunction
U8 blinks 17 times
Malfunction protection of jumper cap
Hardware
malfunction
C5 blinks 15 times
No feedback of indoor motor
Hardware
malfunction
H6 blinks 11 times
Indoor ambient temperature sensor is
open/short- circuited
Hardware
malfunction
F1 blinks 1 times
Indoor evaporator temperature sensor is
open/short-circuited
Hardware
malfunction
F2 blinks 2 times
Liquid valve temperature sensor is
open/short-circuited
Hardware
malfunction
b5 blinks 19 times
Gas valve temperature sensor is
open/short-circuited
Hardware
malfunction
b7 blinks 22 times
Module temperature sensor is
open/short-circuited
Hardware
malfunction
P7 blinks 18 times
Outdoor ambient temperature sensor is
open/short- circuited
Hardware
malfunction
F3 blinks 3 times
Outdoor condenser inlet pipe temperature
sensor is open/short- circuited
Hardware
malfunction
A5
Outdoor condenser middle pipe
temperature sensor is open/short- circuited
Hardware
malfunction
F4 blinks 4 times
Outdoor condenser outlet pipe temperature
sensor is open/short- circuited
Hardware
malfunction
A7 / / /
Outdoor discharge temperature sensor is
open/short- circuited
Hardware
malfunction
F5 blinks 5 times
Communication malfunction of indoor
unit and outdoor unit
Hardware
malfunction
E6 blinks 6 times
Compressor phase current circuit
detection malfunction
Hardware
malfunction
U1 blinks 12 times
Compressor demagnetization protection
Hardware
malfunction
HE blinks 14 times
DC busbar voltage drop malfunction
Hardware
malfunction
U3 blinks 20 times
Module temperature protection
Hardware
malfunction
P8 blinks 19 times
shortage of freon or blockage protection
for the system
Hardware
malfunction
F0 blinks 10 times
Capacitor charging malfunction
Hardware
malfunction
PU blinks 17 times
High voltage protection for the system
Hardware
malfunction
E1 blinks 1 times
Low voltage protection for the system
Hardware
malfunction
E3 blinks 3 times
Compressor blockage
Hardware
malfunction
LE / / /
Drive module reset
Hardware
malfunction
P0 / / /
Overspeed
Hardware
malfunction
LF / / /
Drive board ambient temperature sensor
malfunction
Hardware
malfunction
PF / / /
AC contactor protection
Hardware
malfunction
P9 / / /
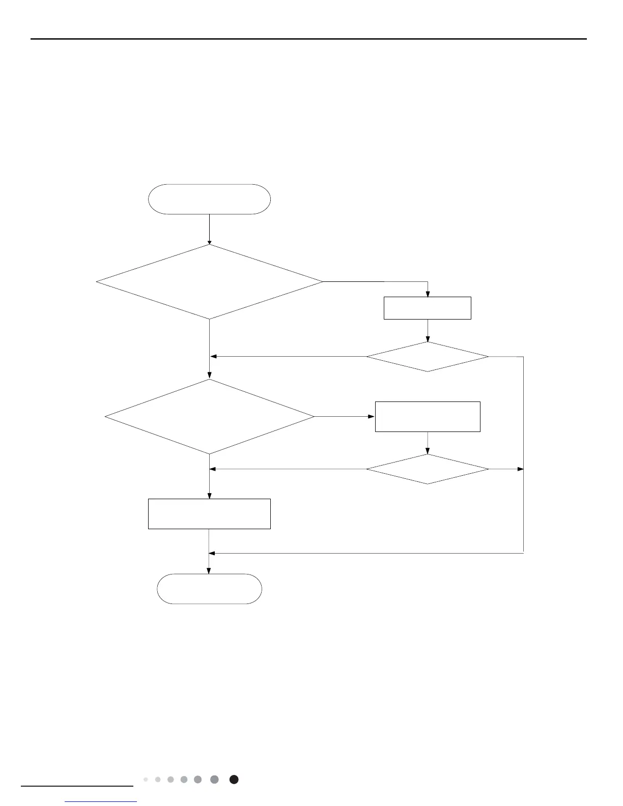
9.2 Troubleshooting for Main Malfunction
(1) Troubleshooting for malfunction of temperature sensor
main check point:
●Whether the temperature sensor is broken or damaged;
●Whether the temperature sensor terminal is loosened or not connected;
●Whether the mainboard is damged;
Check ow chart:
Start the troubleshooting for
temperature sensor
Check whether the
temperature sensor and wiring terminal
is loosened or poorly connected?
Insert the temperature
sensor well
Is mafunction
eliminated?
Is mafunction eliminated?
Replace temperature with
the same mode
Check whether the
temperature sensor is normal by
refering the resistance value of
temperature sensor
Replace the controlle with
the same model
End
No
No
No
No
Yes
Yes
Yes
Yes

Related product manuals