EasyManua.ls Logo

Cotek SP-3000-212 - Voltage & Temperature Performance

Default Icon
77 pages
Print Icon
To Next Page IconTo Next Page
To Next Page IconTo Next Page
To Previous Page IconTo Previous Page
To Previous Page IconTo Previous Page
Loading...
18
EN
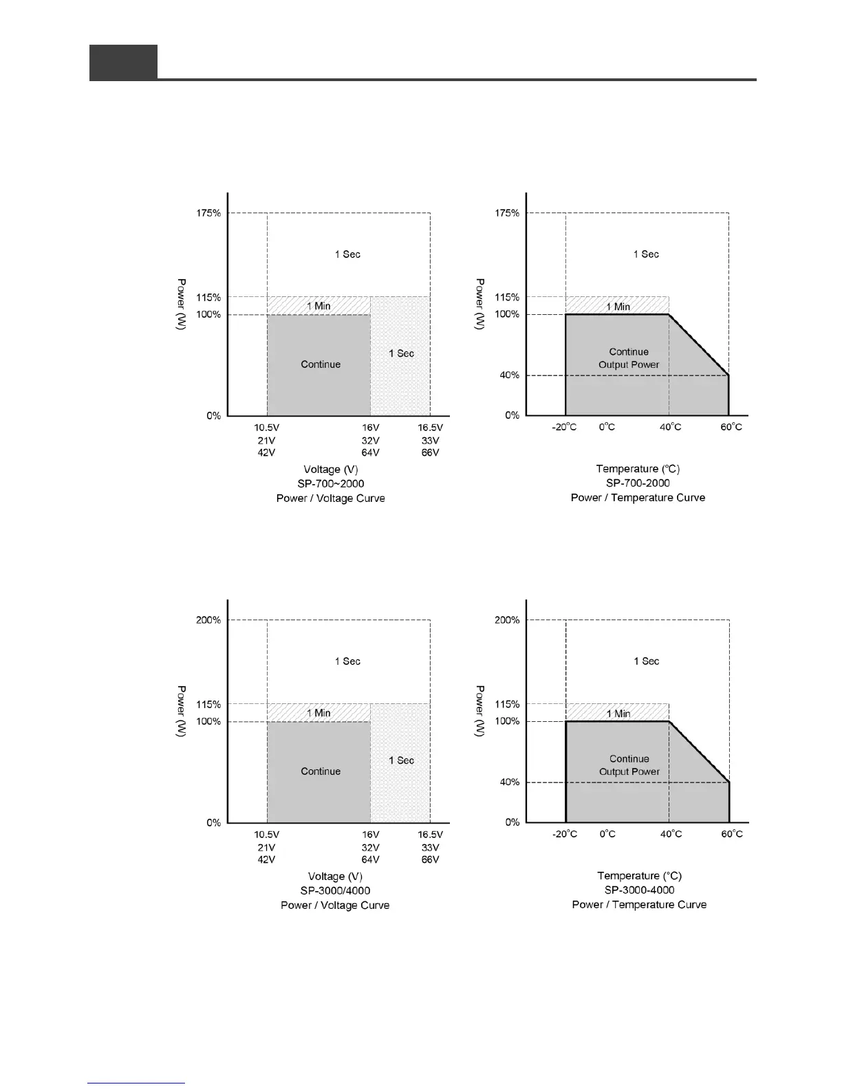
2-3-7. Voltage & temperature performance
Figure 3. SP-3000/4000
Output power vs. input voltage
Figure 4. SP-3000/4000
Output power vs. temperature
Figure 1. SP-700~2000
Output power vs. input voltage
Figure 2. SP-700~2000
Output power vs. temperature

Table of Contents

Related product manuals