EasyManua.ls Logo

CS Instruments FA 410 - Technical Data

CS Instruments FA 410
8 pages
Print Icon
To Next Page IconTo Next Page
To Next Page IconTo Next Page
To Previous Page IconTo Previous Page
To Previous Page IconTo Previous Page
Loading...
FA410_V2_01_2008
4
TECHNICAL DATA
Measuring range -80…20 °Ctd pressure dew point resp. dew point in °Ctd
0…100 % RH
-30…70 °C
Type 0699.0410, FA 410 -80…20 °Ctd 4…20 mA
Type 0699.0412, FA 410 -20…50 °Ctd 4…20 mA
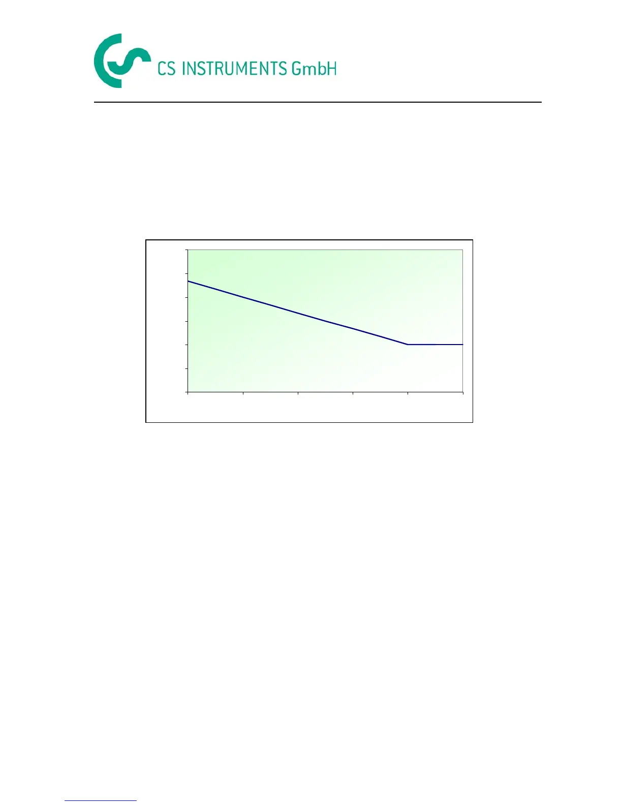
Accuracy: typical 2 °Ctd of -80…-40 °Ctd
1.5 °Ctd of -40…0 °Ctd
1 °Ctd of 0…20 °Ctd
Pressure range: -1…50 bar standard
Power supply: 16..30 VDC
Output: 4…20 mA 3-wire technology
Protection class: IP 65
EMV: DIN EN 61326
Operating temperature: -30…70 °C (ideal 0…50 °C)
Storage temperature: -40…80 °C
Load for analogue output: < 500 Ohm
Screw-in thread: G 1/2" stainless steel
Material of housing: zinc alloy, PC, ABS
Sensor protection: sinter filter 50 m stainless steel
Connection: M12, 5-pole
Response time t95: < 30 seconds (descending)
< 10 seconds (ascending)
Accuracy FA 410
0,0
0,5
1,0
1,5
2,0
2,5
3,0
-80 -60 -40 -20 0 20
Dew point [°Ctd]
Accuracy [°C]

Related product manuals