EasyManua.ls Logo

Currys Essentials CCHOBKN13 - Cleaning and Maintenance

Currys Essentials CCHOBKN13
16 pages
Print Icon
To Next Page IconTo Next Page
To Next Page IconTo Next Page
To Previous Page IconTo Previous Page
To Previous Page IconTo Previous Page
Loading...
13
Cleaning and Maintenance
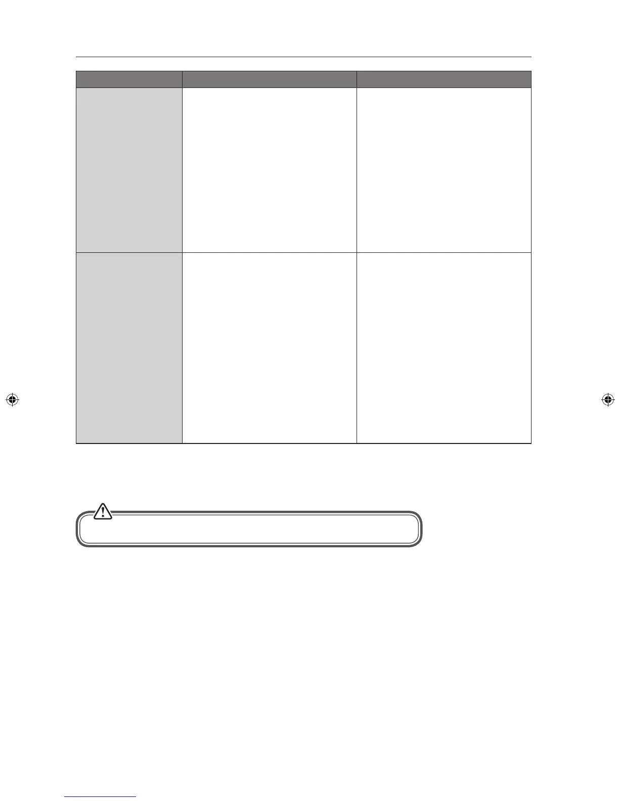
What? How? Important!
Everyday soiling on
glass (ngerprints,
marks, stains left by
food or non-sugary
spillovers on the glass)
1. Switch the power to the ceramic
hob o.
2. Apply a ceramic hob cleaner while
the glass is still warm (but not hot!)
3. Rinse and wipe dry with a clean
cloth or paper towel.
When the power to the ceramic hob
is switched o, there will be no ‘hot
surface indication but the cooking
zone may still be hot!
Take extreme care.
Heavy-duty scourers, some nylon
scourers and harsh/abrasive cleaning
agents may scratch the glass. Always
read the label to check if your cleaner
or scourer is suitable.
Never leave cleaning residue on the
ceramic hob: the glass may become
stained.
Boilovers, melts, and hot
sugary spills on
the glass
Melted aluminium foil
or plastic
Remove these immediately with a sh
slice, palette knife or razor blade scraper
suitable for ceramic glass ceramic hobs,
but beware of hot cooking zone surfaces:
1. Switch the power to the ceramic
hob o.
2. Hold the blade or utensil at a 30°
angle and scrape the soiling or spill
to a cool area of the ceramic hob.
3. Clean the soiling or spill up with
a dish cloth or paper towel.
4. Follow steps 2 to 3 for ‘Everyday
soiling on glass’ above.
Remove stains left by melts and
sugary food or spillovers as soon as
possible. If left to cool on the glass,
they may be dicult to remove or even
permanently damage the glass surface.
Cut hazard: when the safety cover
is retracted, the blade in a scraper is
razor-sharp. Use with extreme care
and always store safely and out of
reach of children.
To avoid shock hazard, always disconnect the hob from the electrical supply.
CCHOBKN13_IB.indd 13 12/04/2013 12:12