EasyManua.ls Logo

Dadant M00432 - Page 5

Default Icon
6 pages
Print Icon
To Next Page IconTo Next Page
To Next Page IconTo Next Page
To Previous Page IconTo Previous Page
To Previous Page IconTo Previous Page
Loading...

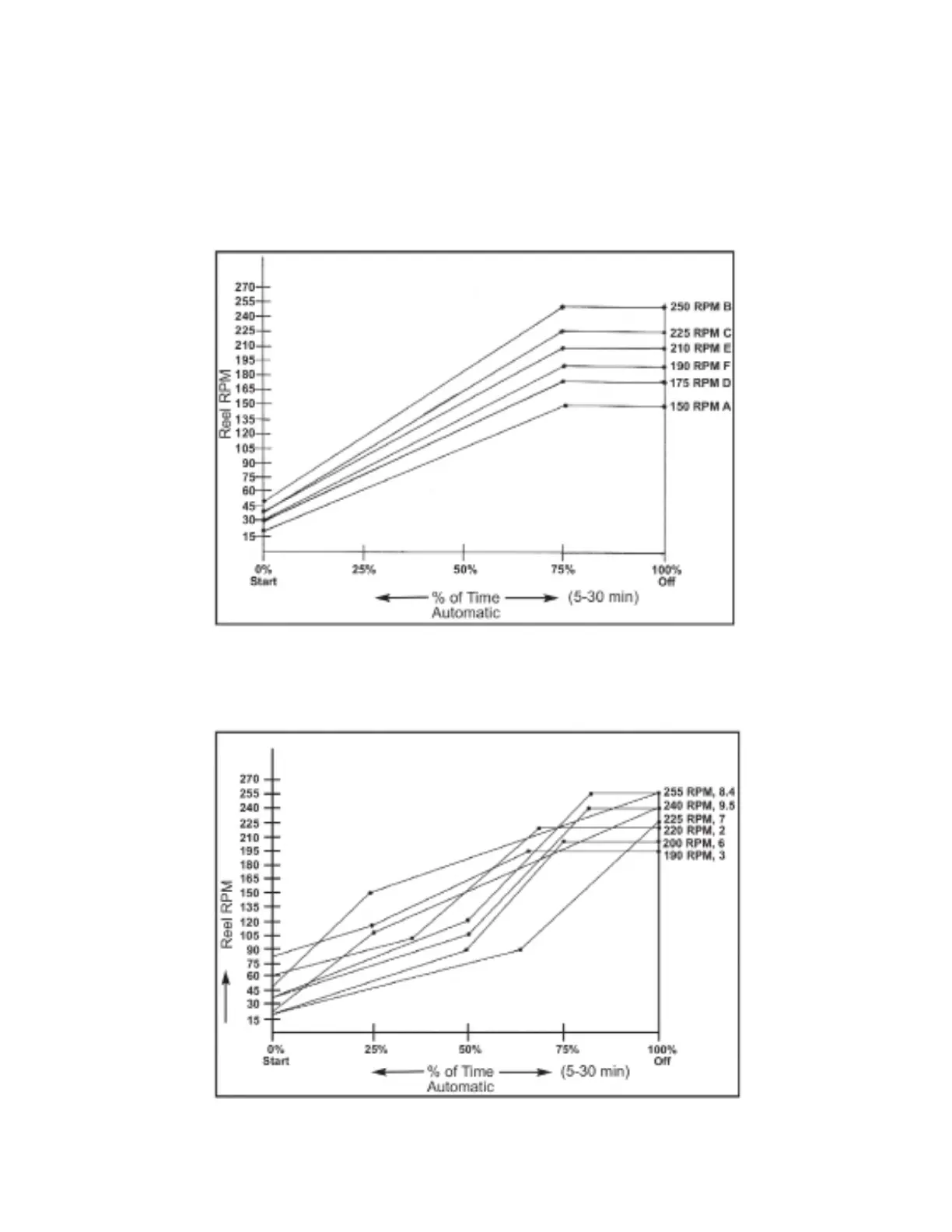
Example 1 —A Honey Master being used to extract colder heavier honey might be “throwing” some combs on a “D” seng.
Since slower acceleraon is indicated “6” would be a proper selecon. An “A” could also be a good choice in order to slow
both acceleraon and top speed.
Example 2—A 30-frame extractor being used to extract warm, light honey might be “too slow” extracng or not drying
combs suciently. An “8” would be a good alternate selecon—faster acceleraon.