EasyManua.ls Logo

Daewoo DLP-20D7 - Troubleshooting: Key Input Not Operating

Daewoo DLP-20D7
51 pages
Print Icon
To Next Page IconTo Next Page
To Next Page IconTo Next Page
To Previous Page IconTo Previous Page
To Previous Page IconTo Previous Page
Loading...
-26-
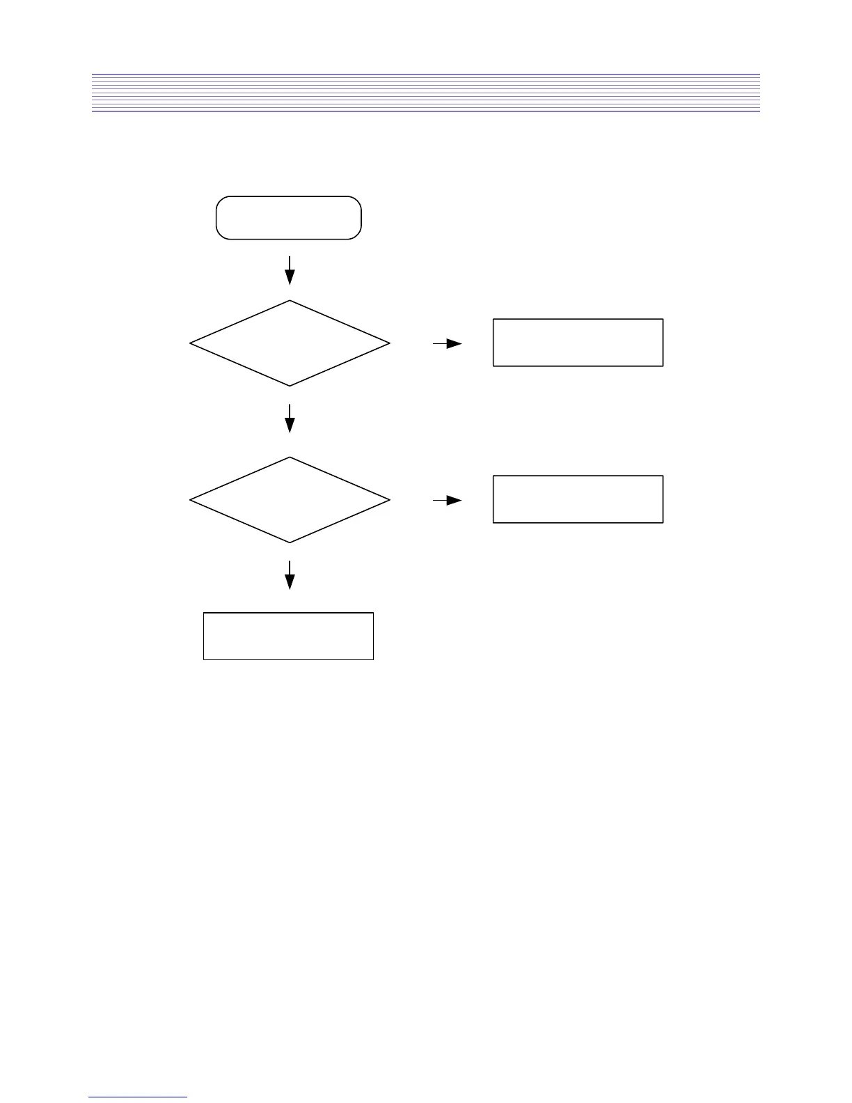
Trouble Shooting
7-7. When Key does not operate.
Does remote
Controller operate?
Check the I501
Check Key cable and I501
Check start
Y
N
Y
Is 2th PIN of P504A
Correctly operate?
Exchange Key PCB
N
Y

Related product manuals