EasyManua.ls Logo

Daewoo DLP-20D7 - Troubleshooting: Inverter Backlight Issues

Daewoo DLP-20D7
51 pages
Print Icon
To Next Page IconTo Next Page
To Next Page IconTo Next Page
To Previous Page IconTo Previous Page
To Previous Page IconTo Previous Page
Loading...
-39-
Inverter
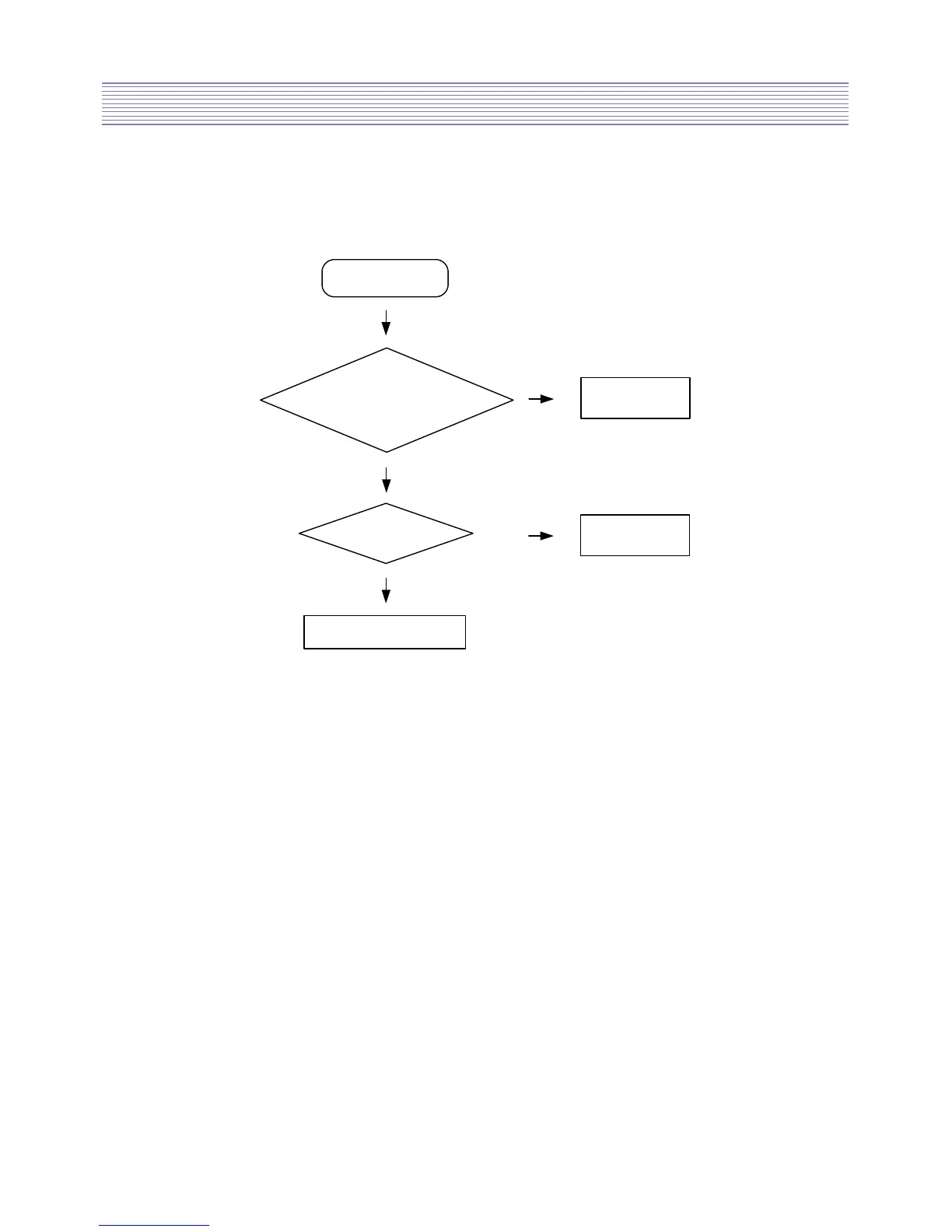
10-4. Troubleshooting
*Backlight doesnt turn on
Is voltage of pin#1~5 of CN1 24V?
Is voltage of pin#12
of CN1 under 3.0V?
Check Power.
Check Main PCB.
Check start
Y
N
N
Y
Y
Exchange Inverter or panel.

Related product manuals