EasyManua.ls Logo

Daikin FAY100FAVE - Page 216

Daikin FAY100FAVE
501 pages
Print Icon
To Next Page IconTo Next Page
To Next Page IconTo Next Page
To Previous Page IconTo Previous Page
To Previous Page IconTo Previous Page
Loading...
Troubleshooting by Remote Controller Si20-701_B
209
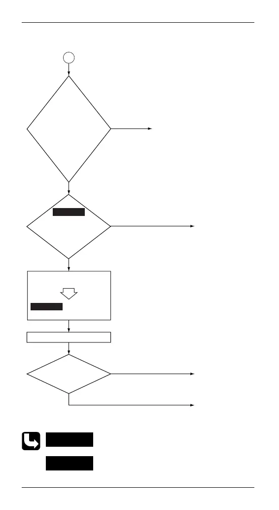
Refer to P.460.
Refer to P.474.
NO
YES
Replace the
defective
thermistor.
Are the
characteristics of each
thermistor
normal?
CHECK 3
CHECK 9
Eliminate the
causes of wet operation.
Actually, it is in wet
operation.
A
The error is
displayed again.
YES
NO
Replace the
outdoor unit
PCB.
External factor
(Noise, etc.)
Restart operation.
YES
Mount properly.
Is the
temperature
sensor of each
thermistor (suction
pipe, discharge pipe
and heat exchanger
distributor pipe
thermistors)
mounted
properly?
NO
CHECK 3
CHECK 9

Table of Contents

Related product manuals