EasyManua.ls Logo

Daikin FAY100FAVE - Page 378

Daikin FAY100FAVE
501 pages
Print Icon
To Next Page IconTo Next Page
To Next Page IconTo Next Page
To Previous Page IconTo Previous Page
To Previous Page IconTo Previous Page
Loading...
Troubleshooting by Remote Controller Si20-701_B
371
Troubleshooting
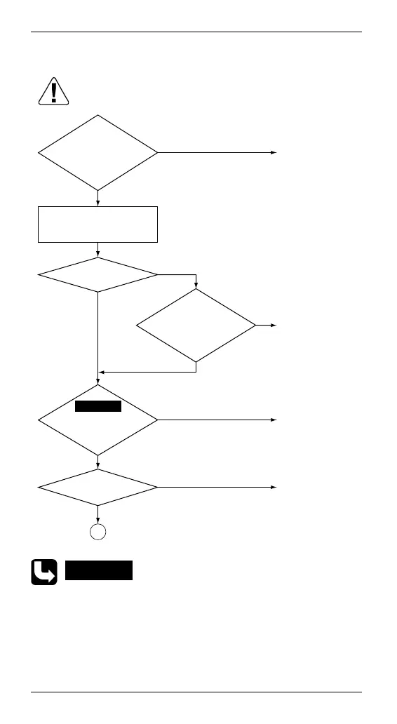
Refer to P.460.
Is the resistance
valve is above the
criteria?
"
U2" is
displayed?
Is the
power
supply voltage
between 200
±10% VAC?
YES
YES
NO
NO
NO
NO
Is the fan
motor normal?
(Refer to
troubleshooting
"
E7" )
Replace the fan
motor.
NO
NO
YES
YES
YES
Field factors
Replace the fan
motor.
Correct the
wiring.
Remove the connector for
fan motor on the PCB,
and operate.
Is the wiring
correct?
CHECK 2
A
Caution
Be sure to turn off the power switch before
connecting or disconnecting connectors, or parts
may be damaged.
CHECK 2

Table of Contents

Related product manuals