EasyManua.ls Logo

Daikin FBQ50D2VEB - Page 92

Daikin FBQ50D2VEB
215 pages
Print Icon
To Next Page IconTo Next Page
To Next Page IconTo Next Page
To Previous Page IconTo Previous Page
To Previous Page IconTo Previous Page
Loading...
Field Setting from Remote Controller ESIE15-13B
78 Field Setting
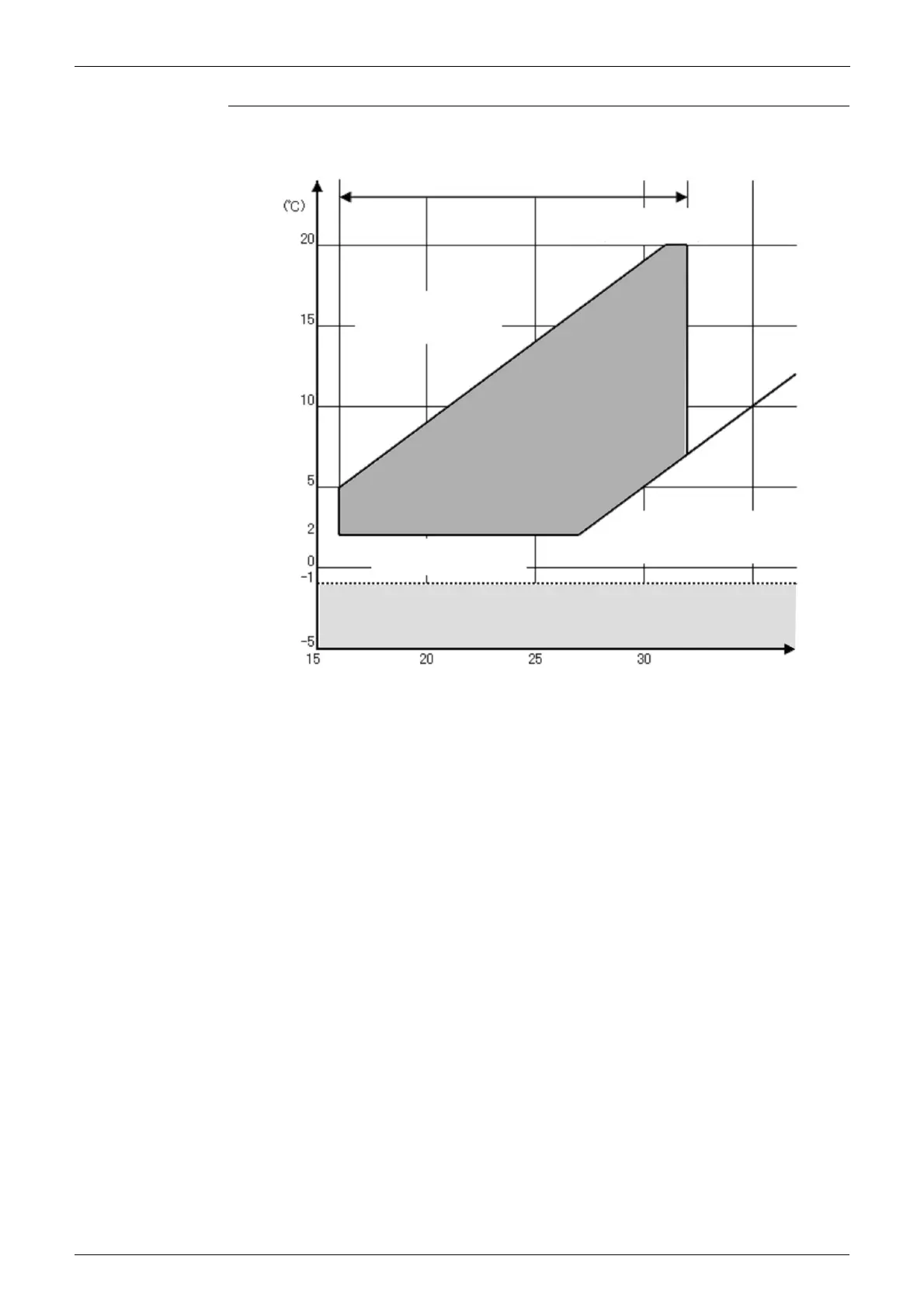
Graph 1 Target evaporating temperature control in case of factory setting 16(26)-2-01:
Te target acceptable area
Remote controller setting temp.
Te target limited 20˚C
(to protect the comp.)
Te target limited
Indoor temp. – 11˚
(not to rising wetbulb)
Te (see note) target
acceptable area
Indoor temp. > setting
Te target down
Indoor temp. < setting
Te target up
Te target limited
Indoor temp. – 25˚
(not to sweat)
Te target limited 2˚C
(not to freeze)
Freeze protection
(40 min. integrated coil temp. -1˚C)
Indoor Temp
(˚C DB)

Table of Contents

Other manuals for Daikin FBQ50D2VEB

Related product manuals