EasyManua.ls Logo

Daikin MicroTech III - Advanced Scheduling and Settings; One Event and Optimal Start Scheduling; Daylight Savings Configuration

Daikin MicroTech III
77 pages
Print Icon
To Next Page IconTo Next Page
To Next Page IconTo Next Page
To Previous Page IconTo Previous Page
To Previous Page IconTo Previous Page
Loading...
DEOMWC00A07-16_02EN
32/77
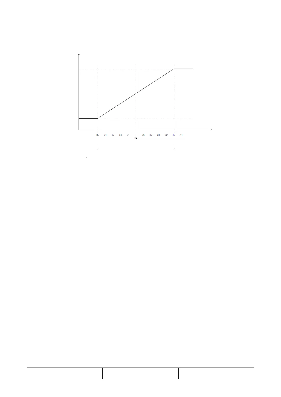
If the Condensation Control Value Set Point is set to Press option and Cond Aout type Set Point is set to Vfd option, a 0-
10V signal is also enabled for the circuit to regulate a modulating condensation device by mean of a PID controller.
According to Vfd default values listed in the Circuit Set Points table, the following graph represents the modulating signal
behavior in case of a control supposed to be purely proportional.
In this example, the analog output varies across the regulation band calculated as Condenser Saturated Temp Set Point
± 100/kp, where kp is the control proportional gain, and centered on the Condenser Saturated Temp Set Point.
8.6 EXV Control
The control is able to support different valve models from different vendors. When a model is selected, all the operational
data for that valves are set including phase and hold currents, total steps, motor speed and extrasteps.
The EXV is moved at a rate which depends on the valve model, with a total range of steps. Positioning is determined as
described in the following sections, with adjustments made in increments of 0.1% of the total range.
Preopen Operation
The EXV control includes a preopen operation that is used only when the unit has optional liquid line solenoids. The unit
is configured for use with or without liquid line solenoids via a set point.
When a circuit start is required, the EXV opens before the compressor starts. The preopen position is defined by a set
point. The time allowed for this preopen operation is at least enough time for the EXV to open to the preopen position
based on the programmed movement rate of the EXV.
Startup Operation
When the compressor starts (if no liquid line solenoid valve is installed), the EXV will start to open to an initial position that
allows a safe start up. The value of LWT will determine if it is possible to enter the normal operation. A pressostatic
(constant pressure) control will start to keep the compressor into the envelope whenever the pressure rises above a
predefined limit which depends on the refrigerant. It goes in normal operation as soon as the suction superheat drops
below a value equal to the suction superheat setpoint.
Normal Operation
Normal operation of the EXV is used when the circuit has completed startup operation of the EXV and is not in a slide
transition conditions.
During normal operation, the EXV controls suction superheat to a target that can vary in a pre-defined range
The EXV controls the suction superheat within 0.5°C in stable operating conditions (stable water loop, static compressor
capacity, and stable condensing temperature).
The target value is adjusted as needed to maintain discharge superheat within a safety operating range which depends on
refrigerant.
Maximum Operating Pressures
The EXV control maintains the evaporator pressure in the range defined by the maximum operating pressure (MOP). The
MOP value depends on the refrigerant type.
Analog
output max
value
Analog
output min
value
Cond Sat
Cond Sat Temp
Set Point
Regulation Band = 100/KP
KP = PID Proportional Gain

Table of Contents

Other manuals for Daikin MicroTech III

Related product manuals