EasyManua.ls Logo

dbx 566 - Advanced Compression Parameters; Ratio Control Function; Attack Control Configuration; Auto Switch for Dynamics

dbx 566
16 pages
Print Icon
To Next Page IconTo Next Page
To Next Page IconTo Next Page
To Previous Page IconTo Previous Page
To Previous Page IconTo Previous Page
Loading...
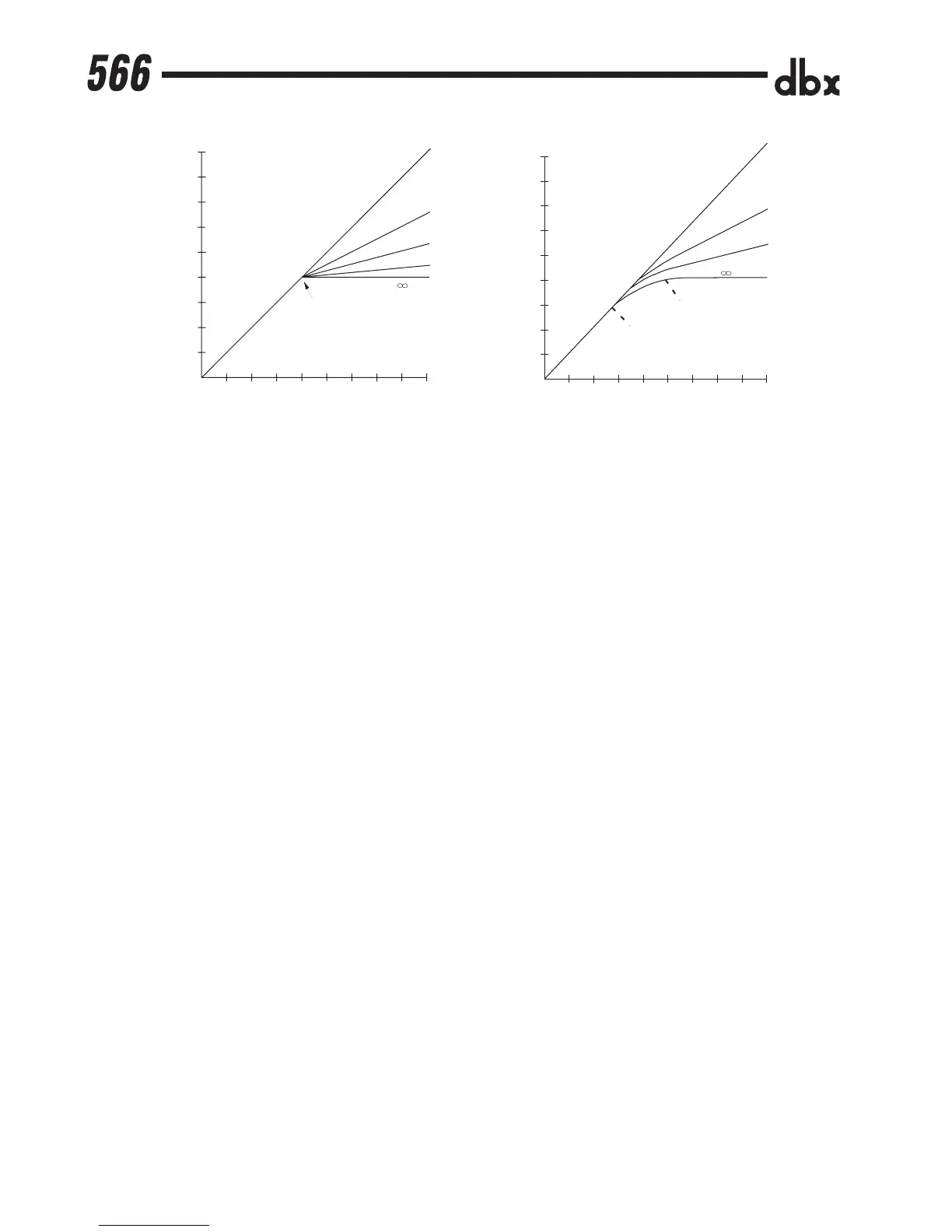
Figure 3: Hard Knee and OverEasy
®
Compression Curves
RATIO control:
This control selects the ratio between input and the output levels for signals above the level set by the
Threshold control. It is adjustable between 1:1 (no compression) and infinity:1 (full compression).
Note that when OverEasy
¨
processing is selected, the ratio slopes gradually from the linear to the
compressed region. As the signal exceeds the threshold, the ratio approaches the ratio set by the Ratio
control.
ATTACK control:
This control sets the amount of time it takes the 566 to begin compressing a signal once the detector
has sensed a signal above the threshold. The attack range is from 3 dB/msec for a tighter and more
noticeable compression effect with very little overshoot to .04 dB/msec for a more gradual compres-
sion that preserves attack transients. A very fast attack setting will cause the 566 to act like a peak
Limiter even though RMS (average level) detection circuitry is used. Slower attack settings cause the
566 to act like an RMS or averaging detecting Compressor/Limiter.
AUTO switch:
This switch overrides both the Attack and Release controls and enables preset program-dependent
attack and release times. These times are derived from the characteristics of the input signal and con-
tinuously change to match its dynamics. The switch lights indicating the attack and release times are
being automatically adjusted in a program-dependent fashion. Enabling the Auto function duplicates
the Òclassic dbx soundÓ of the 566Õs forerunners which have become standards in the industry.
RELEASE control:
The Release control sets how fast the compression circuit returns the input to its original level. The
release rate is from 250 dB/sec where compression follows the envelope of the program material very
tightly to 5 dB/sec for very smooth compression.
1:1
2:1
4:1
:1
15
10
5
0
+5
+15
+20
+10
INPUT LEVEL (dB)
OUTPUT LEVEL (dB)
15
10
5
0
+5
+15
+20
+10
RED
Below Threshold
Above Threshold
OverEasy Range
G
R
E
E
N
A
M
B
E
R
-15
-10
-5
0
+5
+15
+20
+10
INPUT LEVEL (dB)
OUTPUT LEVEL (dB)
-15
-10
-5
0
+5 +15
+20
+10
1:1 Unity
2:1
4:1
:1
20:1
RED
Above Threshold
GREEN
Below Threshold
Rotation Point Threshold
6

Other manuals for dbx 566

Related product manuals