EasyManua.ls Logo

Delta E6-TL-US - Ambient Temperature Operation

Delta E6-TL-US
73 pages
Print Icon
To Next Page IconTo Next Page
To Next Page IconTo Next Page
To Previous Page IconTo Previous Page
To Previous Page IconTo Previous Page
Loading...
11
Metal ns designed into the rear side of the inverter chassis are used to dissipate heat and protect
the unit. An internal temperature control protects the interior of the device. In case of high ambient
temperatures, the maximum transferable power is limited.
The inverter is controlled by microcontrollers which provide interface communication and the values
and messages by APP or cloud
AC grid monitoring is done by an independent dedicated micro controller set up to meet the require-
ments of UL 1741,UL1741 SA / IEEE 1547. This enables a connection of the solar inverter to the
in-house grid.
Operator protection requirements are met by electrically isolating the grid from the PV module. The
electrical isolation between the grid and the PV module is equivalent to basic insulation. Maximum
operator protection is ensured by reinforced isolation between the grid, PV modules, bettery and
accessible interfaces (display, RS485 interface ). Relevant standards concerning electromagnetic
compatibility (EMC) and safety are fullled.
The inverter is functional in grid-parallel operation exclusively. An automatically anti-islanding func-
tion, which was accepted by a certication agency, guarantees secure disconnection in case of
circuit isolation or interruptions in power supply and avoid isolated operation.
The DC arc-fault circuit interrupt (AFCI) is integrated into E6-TL-US and E8-TL-US . It complies
the requirement as Type 1 device in UL1699B standard, series arc faults can be detected.
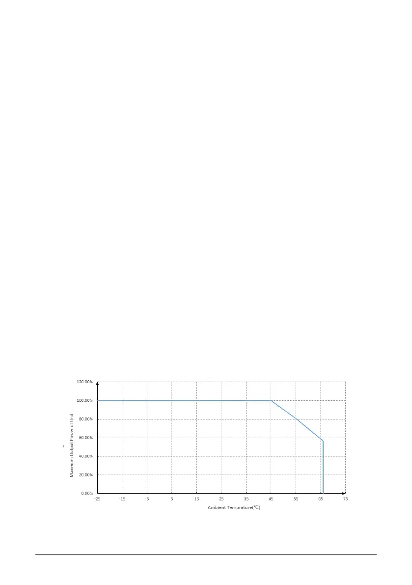
The inverter can be operated in an ambient temperatures from 22 °F to 149 °F (-30°C to +65°C).
The following diagram illustrates how the output power of the solar inverter is reduced automati-
cally in accordance with ambient temperature.
The device should be installed in a well-ventilated, cool and dry location.
Due to tolerrance of temperature sensor and e󰀩ciency di󰀨erence under di󰀨erent PV voltage, this
derating curve may be a litte di󰀨erent from actual behaviors of unit.
2.4 Ambient temperature
Figure 2: Typical derating curve of Delta E series inverter