EasyManua.ls Logo

Dunkirk 3EW.65 - Equipment and Optional Accessories

Dunkirk 3EW.65
32 pages
Print Icon
To Next Page IconTo Next Page
To Next Page IconTo Next Page
To Previous Page IconTo Previous Page
To Previous Page IconTo Previous Page
Loading...
31
MAIN AIR VENT: for down ow systems or diaphragm
type expansion tanks (not provided)
Before system is lled with water, there is air in pipes and
radiation units. Some air will be trapped as system is lled.
It is possible to eliminate most of this air through air vents
on radiation units. Main air vent will speed and simplify this
process. Install main air vent on highest point in supply
main when all radiation is below top of boiler.
AUTOMATIC FILL VALVE (not provided)
For safe, efcient operation, hot water system must be
lled with water. Adding new water, when needed can
be done manually (by use of hand valve in water supply
line). This requires regular attention to system’s needs.
Automatic ll valve or pressure reducing valve accomplishes
this without attention. Install in supply line on hot water
boilers only. Valve operates through water pressure
differentials. It does not require electrical connection.
BURNER SOLENOID VALVE (provided)
Beckett and Carlin oil burner’s use standard solenoid valve.
Upon burner shut down, standard solenoid valve stops
ow of oil to nozzle. Without solenoid valve, oil pump
continues to pump oil to burner nozzle until burner motor
winds down below pumps cutoff speed. Riello oil burner
has delay solenoid valve. Delay solenoid valve provides
same shut down action as standard solenoid valve, plus
on burner start up delay solenoid valve remains closed for
additional 15 seconds. Allows burner fan motor to pre-
purge combustion chamber and oil pump to bring supply
oil pressure up to its set point helping to provide clean light
off.
LIMIT CONTROL (provided) Refer to manufacturer
instructions provided with limit control
Water temperature limit control in limit is adjustable and
may be set: as low as 140°F so long as return water
temperatures to boiler are no less than 120°F, or as high as
220°F so long as boiler and heating system have adequate
circulation to remove heat from boiler otherwise steam may
be created in boiler. Refer back to “System Piping” section
for more information.
DRAIN VALVE (provided)
Drain valve is manually operated valve provides means of
draining all water from boiler and heating system. It should be
installed in reducing tee where return line enters boiler.
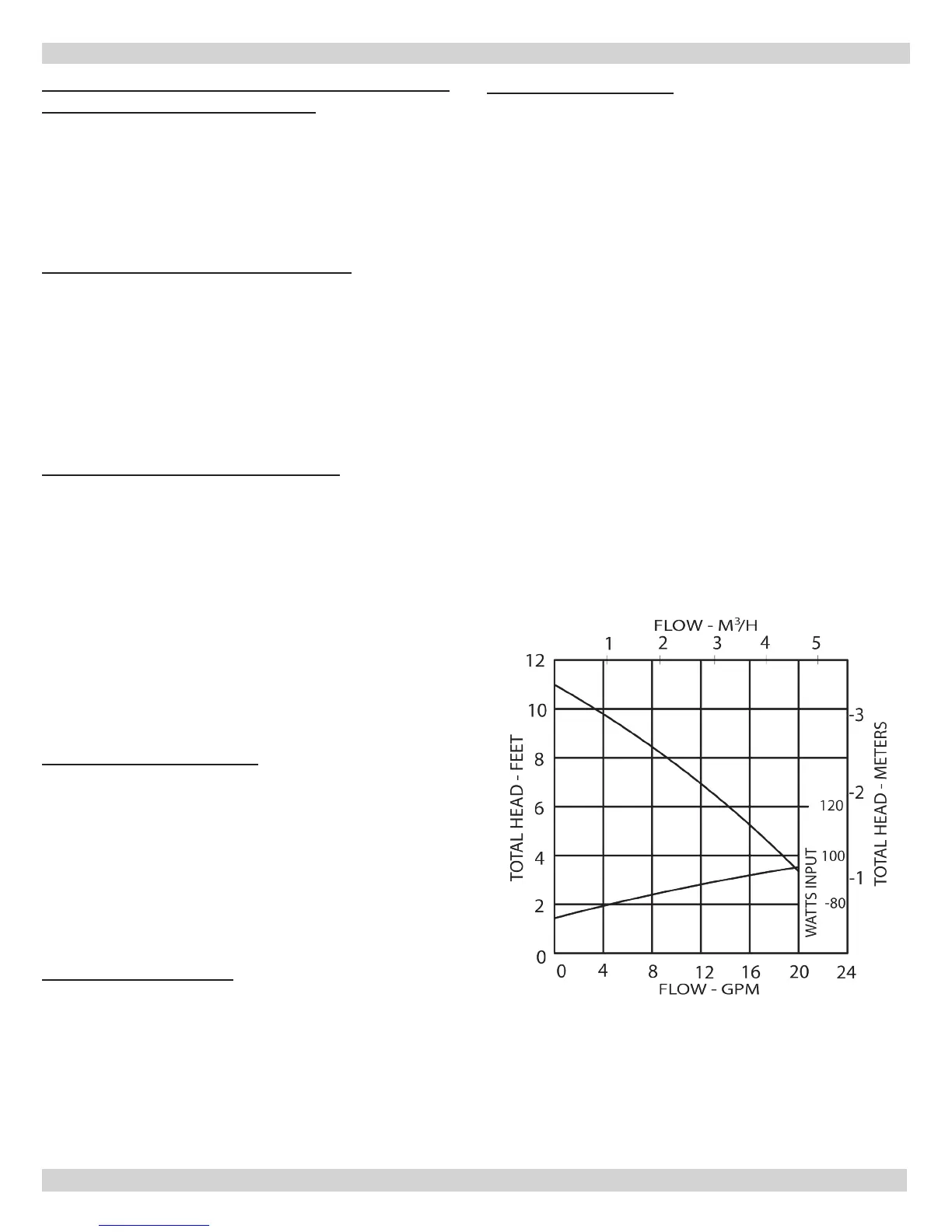
CIRCULATOR (provided)
Every forced hot water system requires circulator. Separate
circulator or zone valve is required for each zone, if there
are two or more zones. Circulator must have capacity to
provide circulation required by heating system. Circulator
should be connected to supply main and must be wired
into boiler’s electrical system. See “System Piping” section
for piping congurations with circulator located on supply
main piping using zone circulators or zone valves. When
piping is arranged with zone circulators and no bypass
piping, circulator provided with boiler may be used as
zone circulator. Both piping arrangements allow circulator
to pump away from expansion tank and show how piping
should be arranged to allow heating system to be easily
purged of air.
EQUIPMENT AND OPTIONAL ACCESSORIES
Taco 007 Pump Curve