EasyManua.ls Logo

Dyadic Systems SCN Series - Rod Speed-Thrust Curve

Dyadic Systems SCN Series
63 pages
Print Icon
To Next Page IconTo Next Page
To Next Page IconTo Next Page
To Previous Page IconTo Previous Page
To Previous Page IconTo Previous Page
Loading...
. .
Dyadic Systems – Mechatronics Cylinder Manual MF-005500-EN-34/63
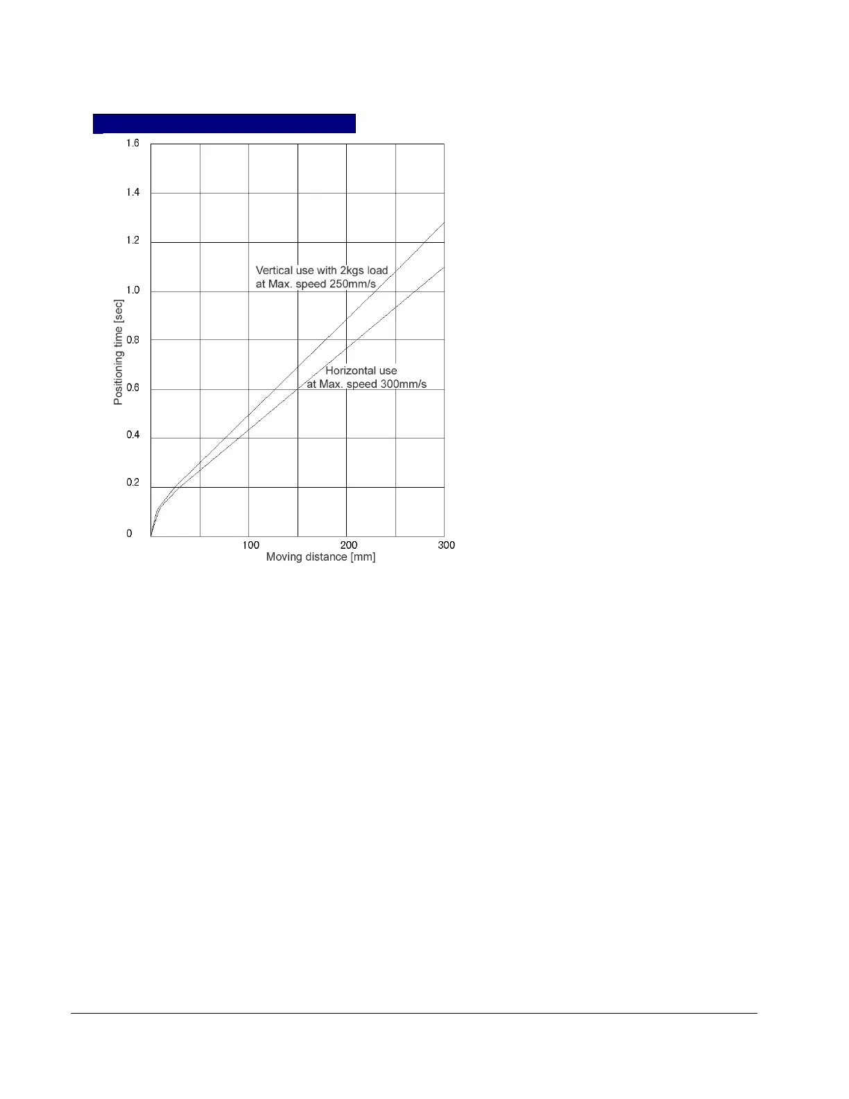
5.1.2. Rod speed-thrust curve
SCLL
6
M
ode
l
(
Slider 20K
gf
T
y
pe
)

Table of Contents

Related product manuals