EasyManua.ls Logo

E-Mu B-3 - What Is a Filter

E-Mu B-3
196 pages
Print Icon
To Next Page IconTo Next Page
To Next Page IconTo Next Page
To Previous Page IconTo Previous Page
To Previous Page IconTo Previous Page
Loading...
72 E-MU Systems
Programming Basics
Dynamic Filters
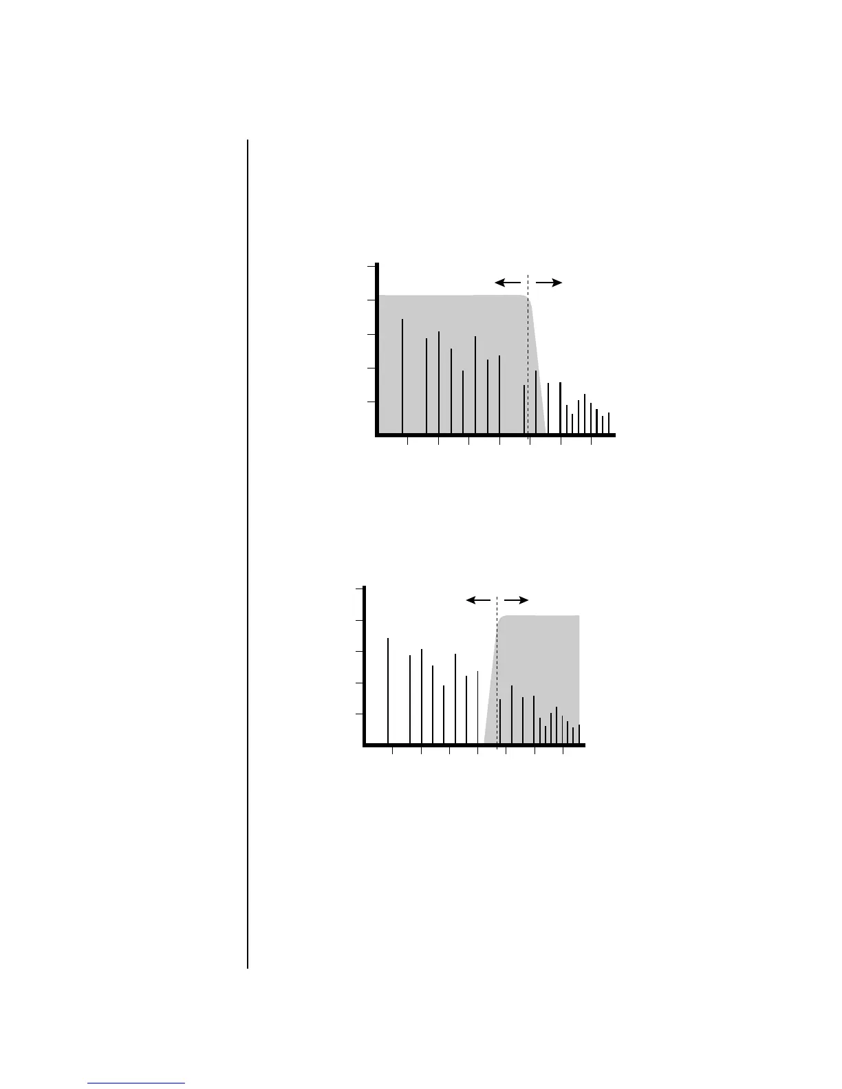
What is a Filter? Most sounds are complex waves containing many sine waves of various
amplitudes and frequencies. A filter is a device which allows us to
remove certain components of a sound depending on its frequency. For
example, a low-pass filter lets the low frequencies pass and removes only the
high frequencies as illustrated in the following diagram.
A filter that lets only the high frequencies pass is called a high-pass filter as
illustrated in the following diagram.
20
40
60
80
100
40 80 160 360 720 1440 2880
Frequency
...
Amplitude
Output of Filter
Low Pass
Filter
Cutoff Frequency
20
40
60
80
100
40 80 160 360 720 1440 2880
Frequency
...
Amplitude
Filter Output
Initial Frequency
High Pass
Filter

Table of Contents

Related product manuals