EasyManua.ls Logo

Elstat ems25+ - Checking Correct Controller Operation; Troubleshooting Condenser High Temperature Alarms

Default Icon
89 pages
Print Icon
To Next Page IconTo Next Page
To Next Page IconTo Next Page
To Previous Page IconTo Previous Page
To Previous Page IconTo Previous Page
Loading...
l
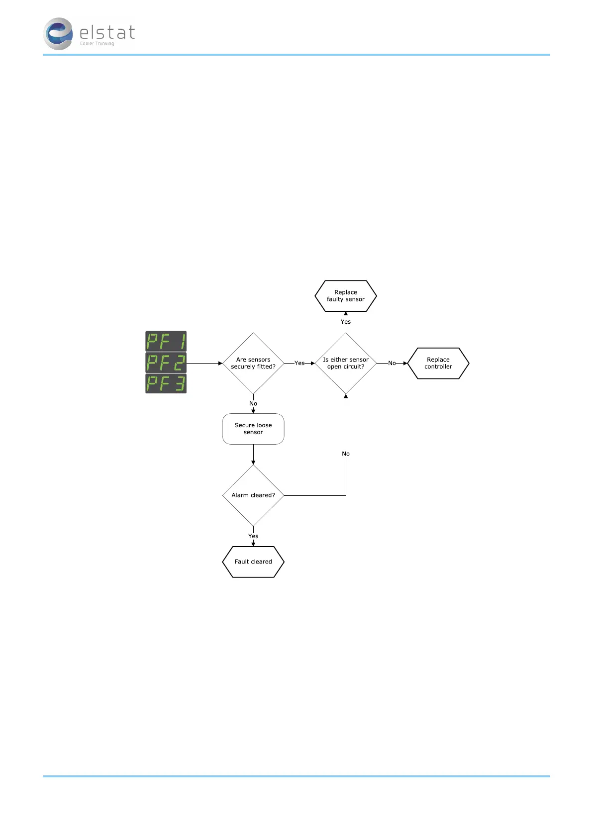
PF1 alarms: ems controllers stop running the compressor and then waits 60 seconds before re-starting (switch off and then switch on).
If the fault continues, the ems controller repeats and continues the cycle untilthe fault corrected.
l
PF2 alarms: ems controllers continue running the compressor.
ems controllers alternate the display between PF2and the appliance sensor temperature
indicating a fault.
l
PF2 alarms: ems55advanced CO2 controllers continue to run the compressor normally and alternate the display PF2 and the gas cooler
sensor temperature indicating a fault.
l
PF3 alarms: ems controllers continue to run the compressor normally and alternate the display PF3 and the appliance sensor tem-
perature.
Sensor faults may also be identified by using the input test within the test routine:
l See "how to run the test routine (tst)" on page 40
Follow the chart to troubleshoot problems with the appliance sensor, condenser sensor, evaporator sensor or gas cooler
sensor.
8.8 how to troubleshoot problems with freeze-up protection (888)
Problems with freeze-up protection may occur if the ambient temperature falls below 0°C (32°F) or if the appliance sensor
fails.
ems25+ and ems25advanced / General Use
51 of 89

Table of Contents

Other manuals for Elstat ems25+

Related product manuals