EasyManua.ls Logo

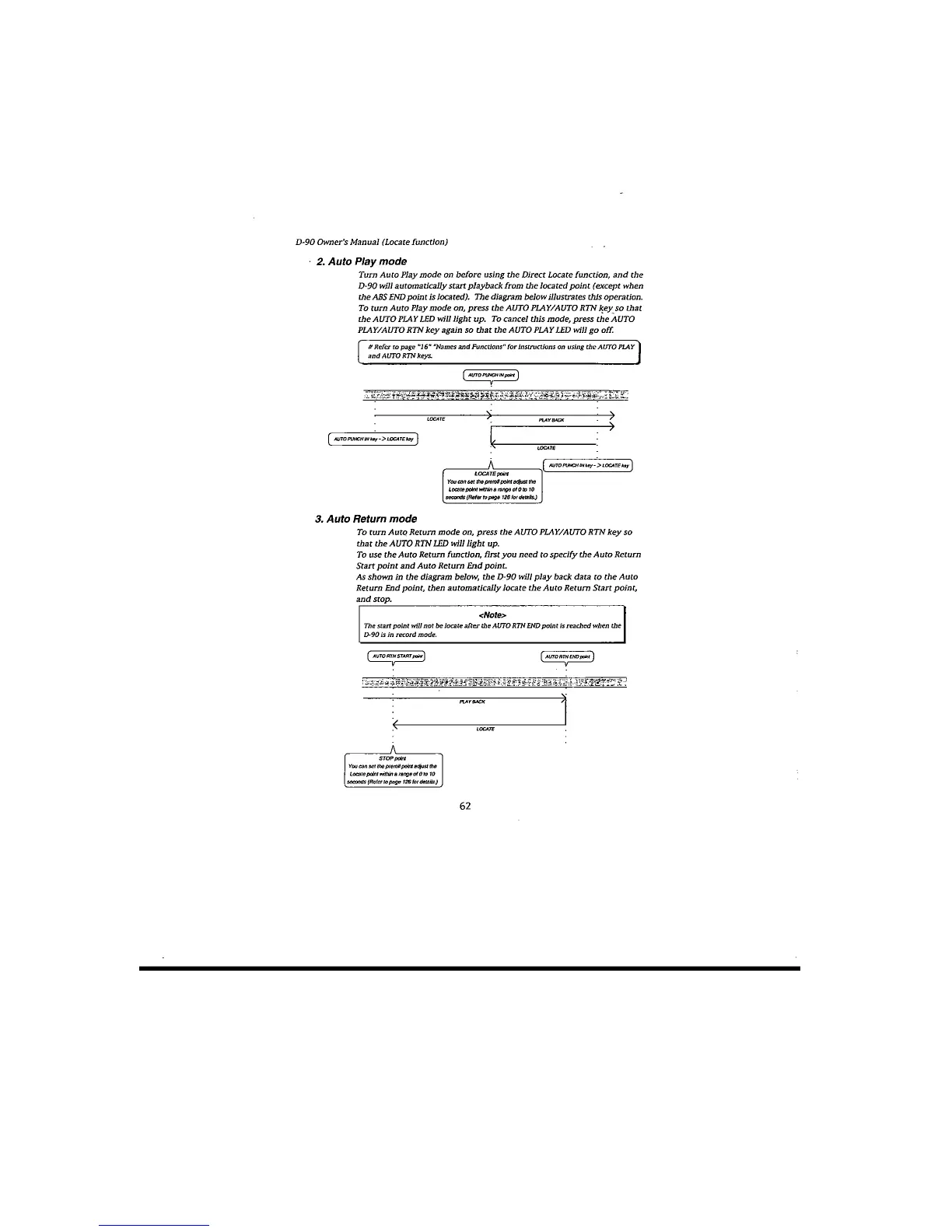
Fostex D-90 - Auto Play Mode; Auto Return Mode

Fostex D-90
164 pages
Print Icon
To Next Page IconTo Next Page
To Next Page IconTo Next Page
To Previous Page IconTo Previous Page
To Previous Page IconTo Previous Page
Loading...

Table of Contents

Related product manuals