EasyManua.ls Logo

Fujitsu ASYG09LMCE - Page 92

Fujitsu ASYG09LMCE
425 pages
Print Icon
To Next Page IconTo Next Page
To Next Page IconTo Next Page
To Previous Page IconTo Previous Page
To Previous Page IconTo Previous Page
Loading...
¢
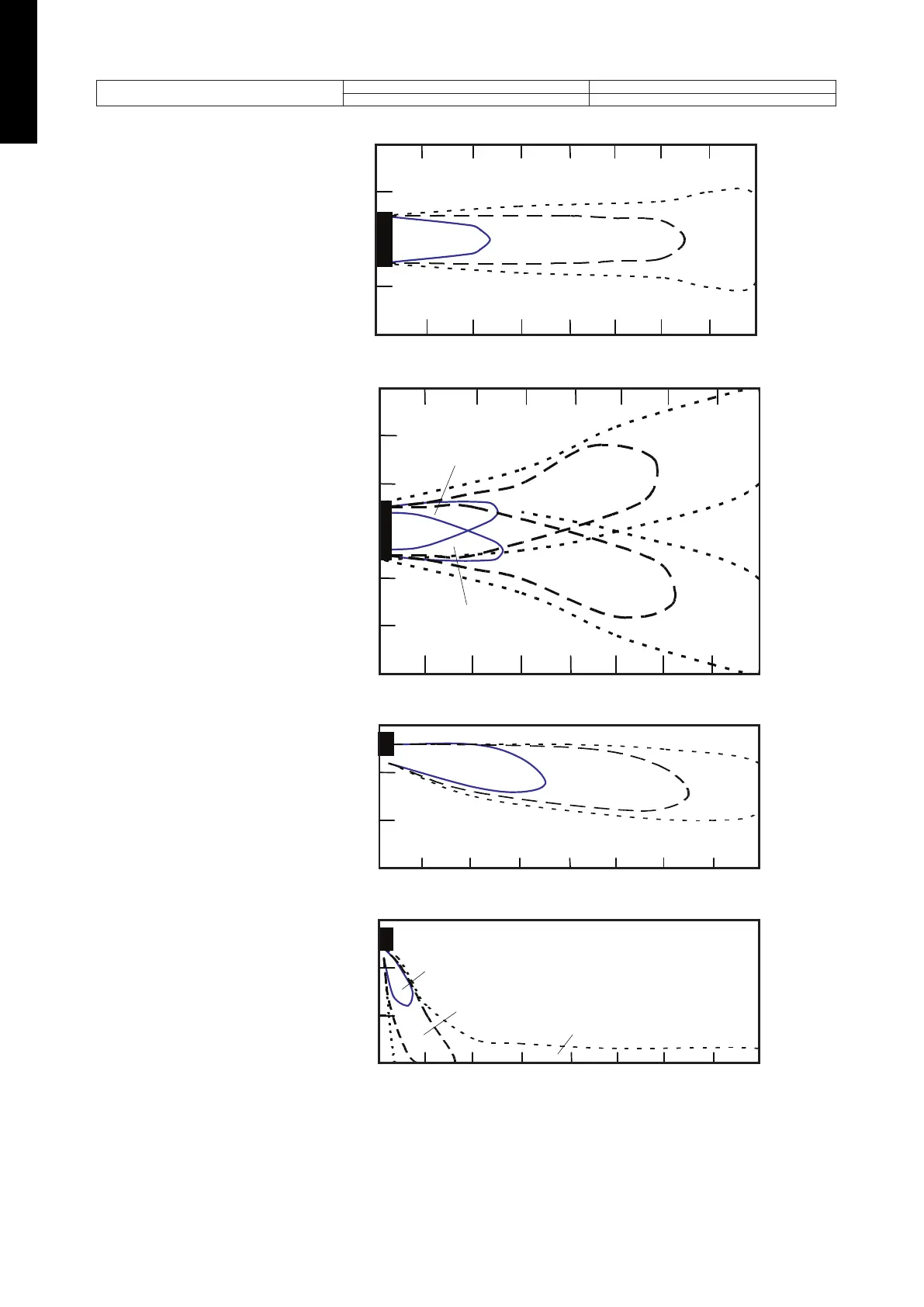
Models: ASYG24LFCA and ASYG24LFCC
Measuring conditions
Fan speed Operation mode
HIGH FAN
Top view
Vertical airflow direction louver: Up
Horizontal airflow direction louver: Center
2.0
1.0
0.5
0
1
1
2
2
(m)
012345678
Unit: m/s
Top view
Vertical airflow direction louver: Up
Horizontal airflow direction louver: Left & Right
2.0
2.0
1.0
1.0
0.5
0.5
Unit: m/s
(m)
012345678
(m)
0
1
1
2
2
3
3
Side view
Vertical airflow direction louver: Up
Horizontal airflow direction louver: Center
2.0
1.0
0.5
Unit: m/s
(m)
012345678
(m)
0
1
2
3
Side view
Vertical airflow direction louver: Down
Horizontal airflow direction louver: Center
2.0
1.0
0.5
Unit: m/s
(m)
012345678
(m)
0
1
2
3
DESIGN & TECHNICAL MANUAL
- 84 -
MULTI TYPE
5, 6 ROOMS TYPE

Table of Contents

Other manuals for Fujitsu ASYG09LMCE

Related product manuals