EasyManua.ls Logo

GE 2-9233 - Troubleshooting Common Issues; Service Troubleshooting Checklist

GE 2-9233
16 pages
Print Icon
To Next Page IconTo Next Page
To Next Page IconTo Next Page
To Previous Page IconTo Previous Page
To Previous Page IconTo Previous Page
Loading...
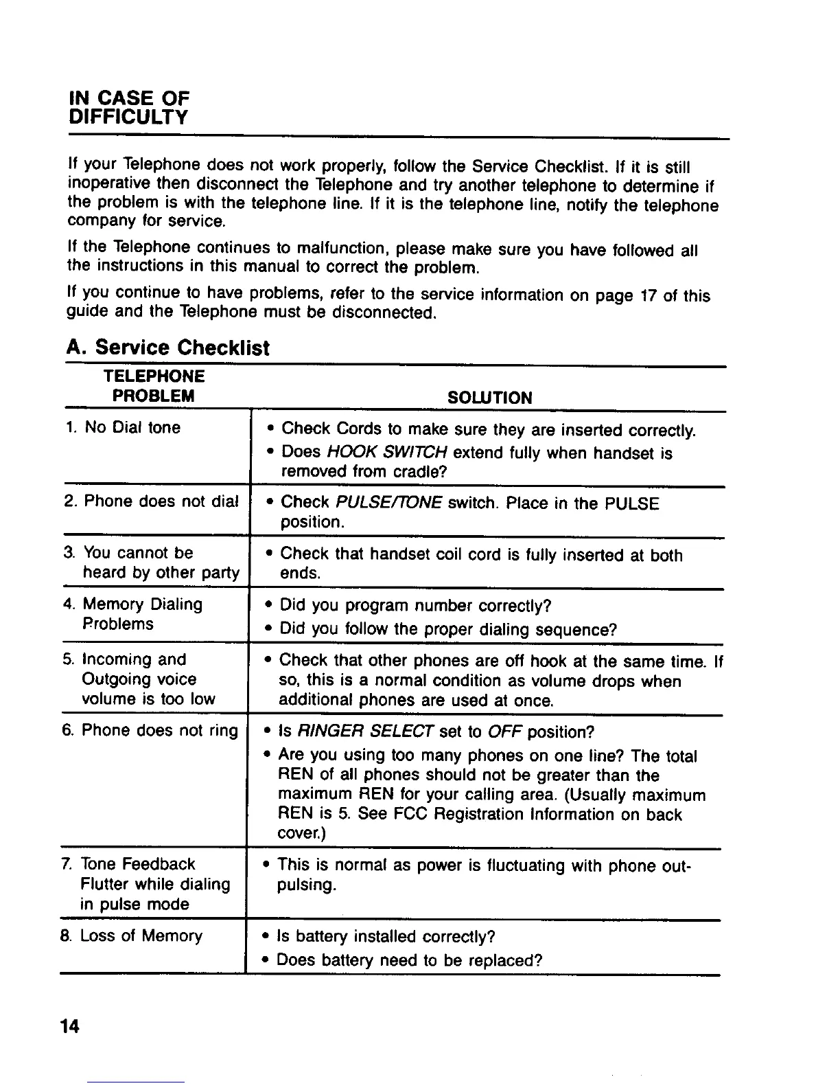
IN CASE OF
DIFFICULTY
If your Telephone does not work properly, follow the Service Checklist. If it is still
inoperative then disconnect the Telephone and try another telephone to determine if
the problem is with the telephone line. If it is the telephone line, notify the telephone
company for service.
If the Telephone continues to malfunction, please make sure you have followed all
the instructions in this manual to correct the problem.
If you continue to have problems, refer to the sewice information on page 17 of this
guide and the Telephone must be disconnected.
A. Semite Checklist
TELEPHONE
PROBLEM
1. No Dial tone
2. Phone does not dial
3. Youcannot be
heard by other party
4. Memory Dialing
Problems
5. Incoming and
Outgoing voice
volume is too low
6. Phone does not ring
7. Tone Feedback
Flutter while dialing
in pulse mode
8. Loss of Memory
14
SOLUTION
Check Cords to make sure they are inserted correctly.
Does HOOK SW/~H extend fully when handset is
removed from cradle?
Check PULSE~NE switch. Place in the PULSE
position.
Check that handset coil cord is fully inserted at both
ends.
Did you program number correctly?
Did you follow the proper dialing sequence?
Check that other phones are off hook at the same time. If
so, this is a normal condition as volume drops when
additional phones are used at once.
Is RINGER SELEC7 set to OFF position?
Are you using too many phones on one line? The total
REN of all phones should not be greater than the
maximum REN for your calling area. (Usually maximum
REN is 5. See FCC Registration Information on back
cover.)
This is normal as power is fluctuating with phone out-
pulsing.
Is battery installed correctly?
Does battery need to be replaced?
/’
.-
,..-,
/
,,
/{
,/’

Related product manuals