EasyManua.ls Logo

Genius SP-P110 - Chapter1. How To Handle Defective Returns; Overview

Genius SP-P110
14 pages
Print Icon
To Next Page IconTo Next Page
To Next Page IconTo Next Page
To Previous Page IconTo Previous Page
To Previous Page IconTo Previous Page
Loading...
Version: 1.0 Page 4/13
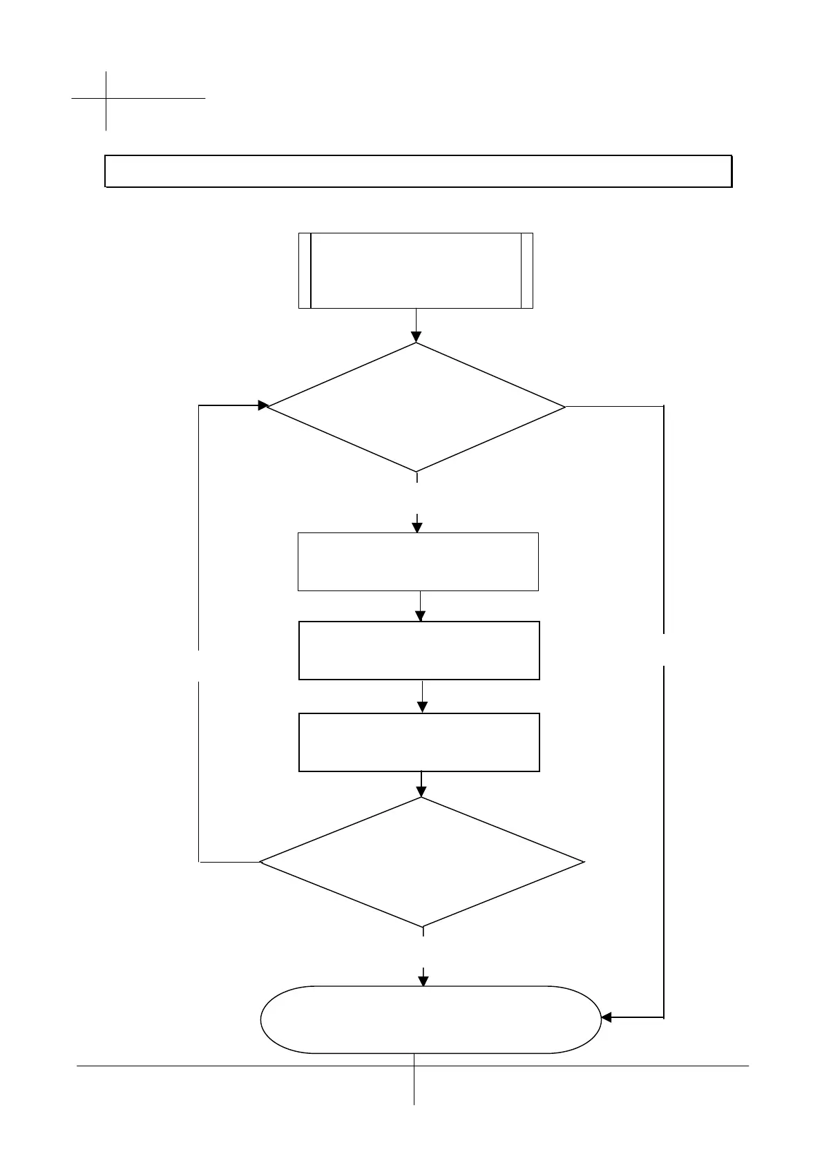
1.1 Overview
s
G
uide
ervice
S
P-P110
Chapter 1. How to Handle Defective Returns
Receiving Defective
Speakers
from Customers
Verifying problems&
Proceeding necessary tests
Analyzing possible
Malfunction causes
Deciding & proceeding
the rectification methods
Replacing necessary
Defective parts
Proceeding tests
To verify if the speaker is
functioning normally
Functioning OK
Return the speakers with
Pro
p
er re
p
acka
g
in
g
to customers
Functioning NG
Functioning OK
Functioning NG

Related product manuals