EasyManua.ls Logo

Gree GMV-450WM/B-X - Page 169

Gree GMV-450WM/B-X
375 pages
Print Icon
To Next Page IconTo Next Page
To Next Page IconTo Next Page
To Previous Page IconTo Previous Page
To Previous Page IconTo Previous Page
Loading...
GMV5 DC INVERTER VRF UNITS SERVICE MANUAL
166
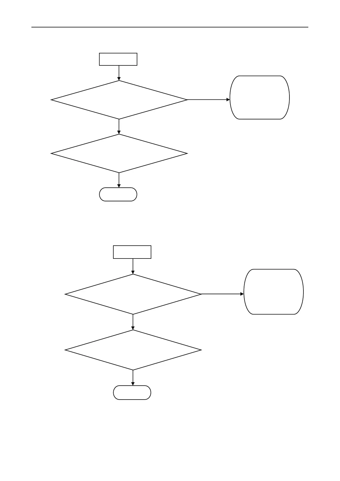
(5) Recharging circuit faulty of the variable-frequency compressor drive board (ODU fault PF)
(6) High voltage protection for the DC bus of the variable-frequency compressor's drive board (ODU fault
PH)
No
Yes
PF
Check if the voltage of the
whole system's input power
cable reaches 280V.
Complete
Elevate the voltage of
the input power cable
to 380V.
The compressor drive board
is faulty and needs to be
replaced.
Yes
No
PH
Check if the voltage of the
whole system's input power
cable exceeds 460 V.0V.
Complete
Lower the voltage of
the input power cable
to 380 V.
The compressor's drive
board is faulty and needs to
be replaced.

Table of Contents

Other manuals for Gree GMV-450WM/B-X

Related product manuals