EasyManua.ls Logo

Gree GMV-PD100W/NAB-K - Page 14

Gree GMV-PD100W/NAB-K
133 pages
To Next Page IconTo Next Page
To Next Page IconTo Next Page
To Previous Page IconTo Previous Page
To Previous Page IconTo Previous Page
Loading...
10
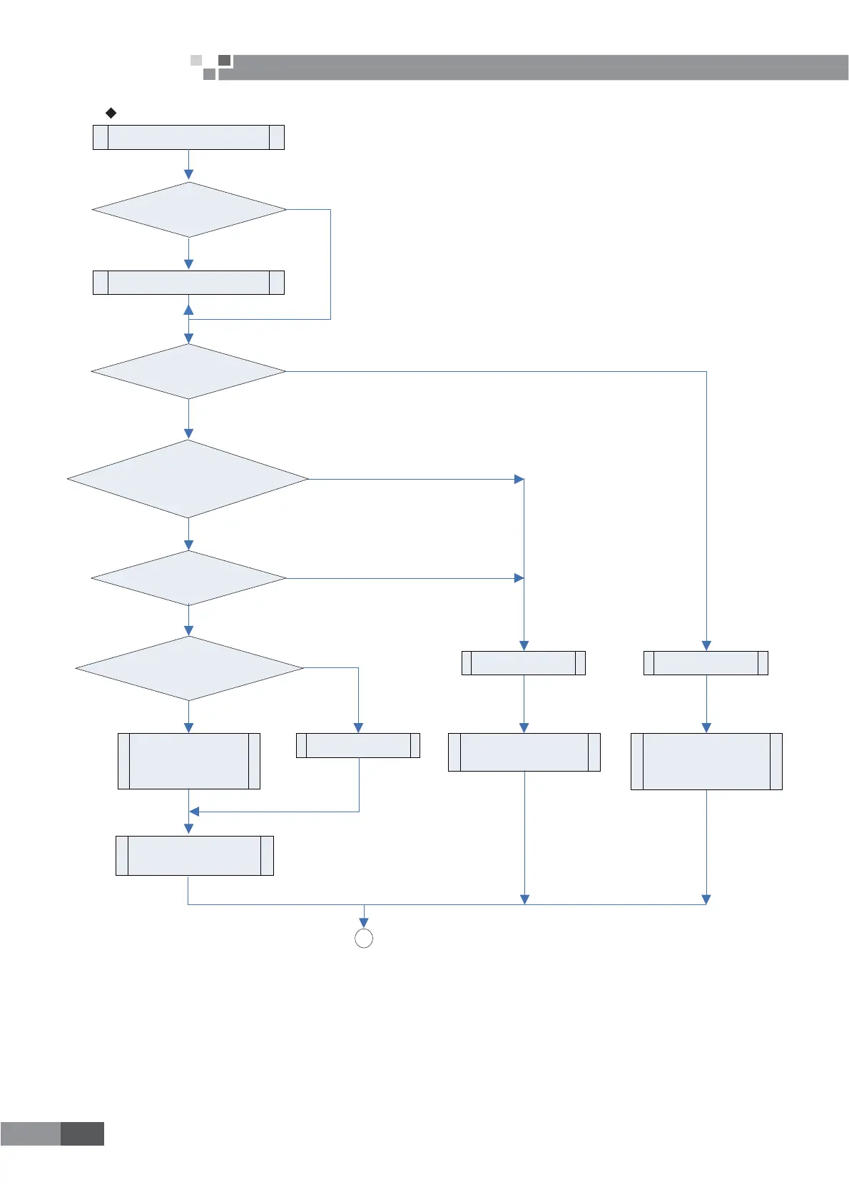
DC Inverter Multi
VRF Service Manual
DPOUSPM
Heating Operation
There Is Not
There Is
Guide Louver
Heating Operation
Guide Louvers Swing
In The Process Of
Preventing Restart Operation?
(3 Minut es)
In The Operation
Of Defrosting ?
Temperature
Adjustment ?
Fan Motor :
As Per Set Air Supply
Speed
In The Process O f
Preventing Cold Air?
Electronic Expansion
Valve : Capacity C ontrol
Fan Motor : Stop
Fan Motor : Stop
Electronic
Expansion Valve :Close
Fan Motor : Stop
Electronic
Expansion Valve :Close
Defrosting Control
Yes
Yes
Yes
Yes
No
No
No
No
A

Table of Contents

Related product manuals