EasyManua.ls Logo

Gree GWH18MC-K3DNA2G - Page 63

Gree GWH18MC-K3DNA2G
104 pages
To Next Page IconTo Next Page
To Next Page IconTo Next Page
To Previous Page IconTo Previous Page
To Previous Page IconTo Previous Page
Loading...
60
Installation and Maintenance
Service Manual
(9)
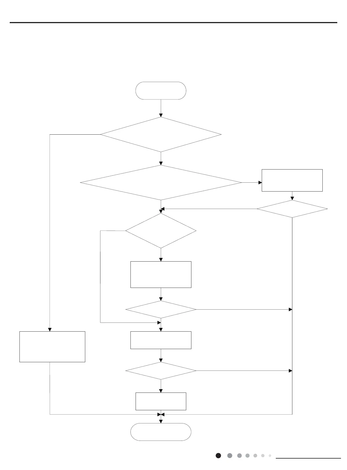
Malfunction of Failure Start-up of Compressor (LC)
Main check point:
Whether the compressor wires are connected correctly?
Whether the stop time for compressor is enough?
Whether compressor is damaged?
Whether the refrigerant-charging volume is superuous?
Check ow chart:
Energize and turn
on the unit
Whether the stop time for
compressor is more than 3min?
Whether compressor wires are
connected correctly?
The stop time for unit is not
enough; high pressure and
low pressure of system are
unbalanced; please wait for
3min and then restart up the unit
Whether the refrigerant volume
is superuous?
Please charge the refrigerant
according to Service Manual
Is malfunction eliminated?
Replace main board of
outdoor unit
Is malfunction eliminated?
Replace compressor
End
Connect compressor wires
according to wiring diagram
Is malfunction eliminated?
Yes
No
No
No
No
No
No
Yes
Yes
Yes
Yes
Yes

Related product manuals