EasyManua.ls Logo

Gree YAA1FB - Malfunction of Communication

Gree YAA1FB
102 pages
Print Icon
To Next Page IconTo Next Page
To Next Page IconTo Next Page
To Previous Page IconTo Previous Page
To Previous Page IconTo Previous Page
Loading...
64
Installation and Maintenance
Service Manual
(8)
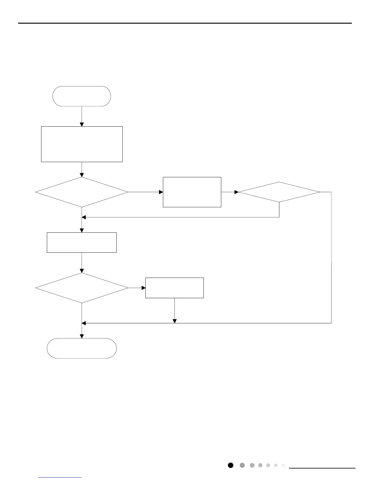
Malfunction of Communication (E6)
Main check point:
Check whether connection wires between indoor unit and outdoor unit and wiring inside the unit are connected well?
Check the main board of indoor unit or main board of outdoor unit is damaged?
Check ow chart:
Communication malfunction
De-energize the unit and then
check whether connection wires
between indoor unit and outdoor
unit and wiring inside the electric
box are correct
Are wires are connected correctly?
Replace main board of indoor unit
Is malfunction eliminated?
End
Replace main board
of outdoor unit
Connect wire correctly
according to circuit
diagram
Is malfunction eliminated?
No
No
No
Yes
Yes
Yes

Table of Contents

Related product manuals