EasyManua.ls Logo

hager TX216 - Page 64

hager TX216
130 pages
Print Icon
To Next Page IconTo Next Page
To Next Page IconTo Next Page
To Previous Page IconTo Previous Page
To Previous Page IconTo Previous Page
Loading...
hager
"DALI Gateway C00Cx2" software
Functional description
Seite 64 von 130
Even if brightness values are instantly jumped to the dimming will take a short time with the DALI
devices of a group. This applies also to the switching without the Soft-ON or – OFF function. This
dimming procedure depends on the system. The brightness value instantly jumped to will be dimmed
up within 0.7 s (short fading). This time cannot be changed.
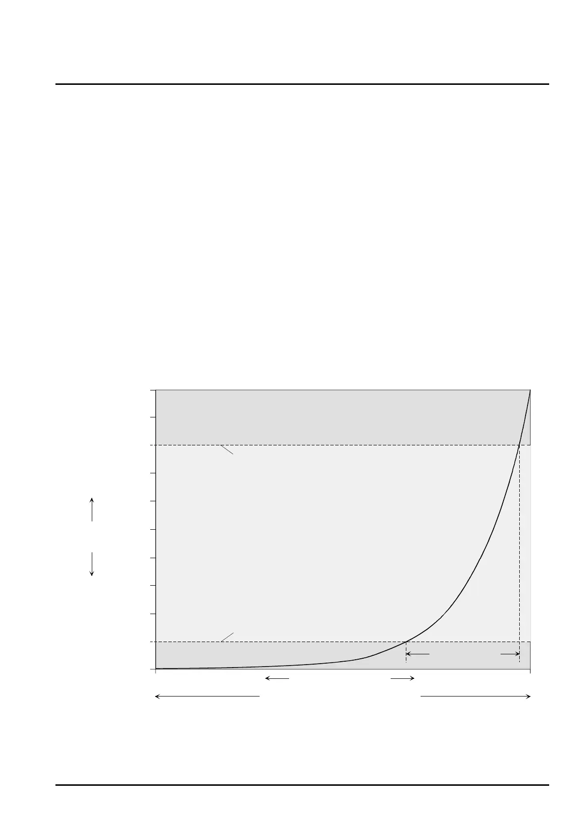
The setting of a dimming time for the relative dimming or for the absolute dimming (with the brightness
values dimmed to) of the DALI Gateway is system-related for the entire brightness range of the system
(cf. figure 18). The time entered in the ETS defines the maximum duration for the logarithmic dimming
common in the DALI system over the entire brightness range from 0 % to 100 %. The dimming
increments are directly derived from the parameterized times.
Examples:
Parameterized time for relative dimming = 10 s / adjusted brightness value = 50 %
relative dimming
from 50 % to 100 %
the dimming procedure requires 5 s.
Parameterized time for absolute dimming = 20 s / adjusted brightness value = 25 %
absolute
dimming from 25 % to 100 %
the dimming procedure requires 15 s.
When parameterizing the dimming times the time for the dimming will be always defined across the
entire brightness range (0...100 %). A minimum or maximum brightness parameterized in the ETS
does not limit the dimming times but will solely determine the dimmable range.
DALI-Brightness range0 % 100 %
0 %
100 %
90 %
KNX / EIB
Brightness range
Time for relative or absolute dimming
50 %
10 %
20 %
30 %
40 %
60 %
70 %
80 %
dimmable range
Maximum brightness
Minimum brightness
Figure 18: characteristic dimming curve for relative or absolute dimming
for example with minimum and maximum brightness