EasyManua.ls Logo

Harbor Freight Tools 93662 - Pump Performance Flow Chart

Harbor Freight Tools 93662
18 pages
Print Icon
To Previous Page IconTo Previous Page
To Previous Page IconTo Previous Page
Loading...
SKU 93662 For technical questions, please call 1-800-444-3353. Page 18
5. Service and Maintenance
Component parts which are not scheduled for replacement as required maintenance or are scheduled only for regular inspection
to the effect of “repair or replace as necessary” are warranted for the warranty period. Any warranted part which is scheduled
for replacement as required maintenance is warranted for the period of time up to the rst scheduled replacement point for that
part. Any replacement part, provided it is equivalent in durability and performance, may be used in performance of maintenance
or repairs. The owner is responsible for commissioning a qualied technician/mechanic to perform all required maintenance, as
outlined in the Inspection, Cleaning, and Maintenance section on page 17 of this manual.
6. Warranted Parts
1) Fuel Metering System
i) Carburetor and its internal parts.
ii) Fuel pump (if so equipped).
iii) Cold start enrichment system.
2) Air Induction System
i) Intake pipe/manifold.
ii) Air cleaner.
3) Ignition System
i) Spark plug.
ii) Magneto ignition system.
4) Catalyst System (if so equipped)
i) Exhaust pipe stud.
ii) Mufer.
iii) Catalytic converter (if so equipped).
5) Miscellaneous items Used in Above Systems
i) Vacuum, temperature and time sensitive valves and switches.
ii) Hoses, belts, connectors, and assemblies.
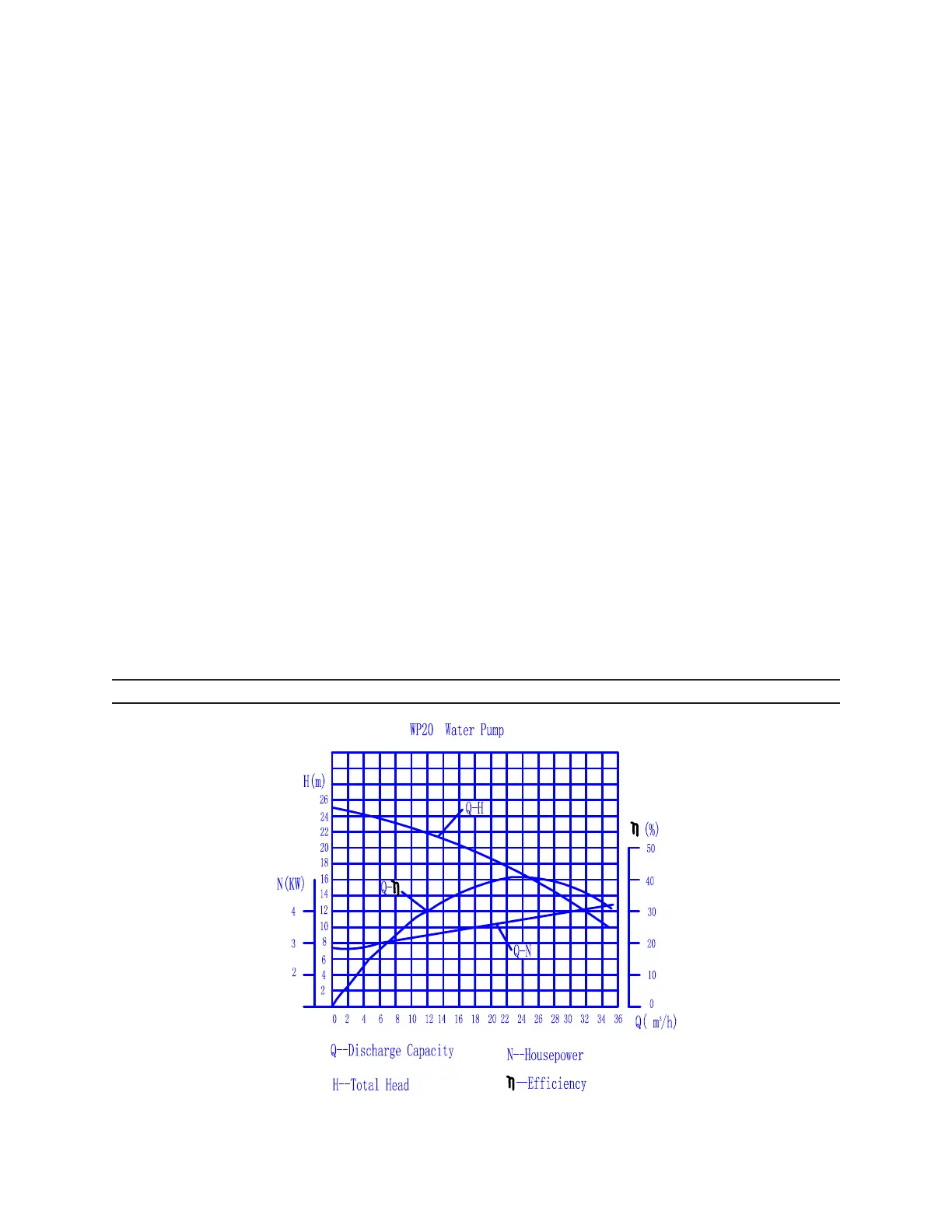
PUMP PERFORMANCE FLOW CHART
Emission Control System Warranty - continued
Harbor Freight Tools Emission Control Defects Warranty Provisions

Related product manuals