EasyManua.ls Logo

Hisense 32E5606EX - Troubleshooting for HDMI Input

Hisense 32E5606EX
52 pages
Print Icon
To Next Page IconTo Next Page
To Next Page IconTo Next Page
To Previous Page IconTo Previous Page
To Previous Page IconTo Previous Page
Loading...
- 23 -
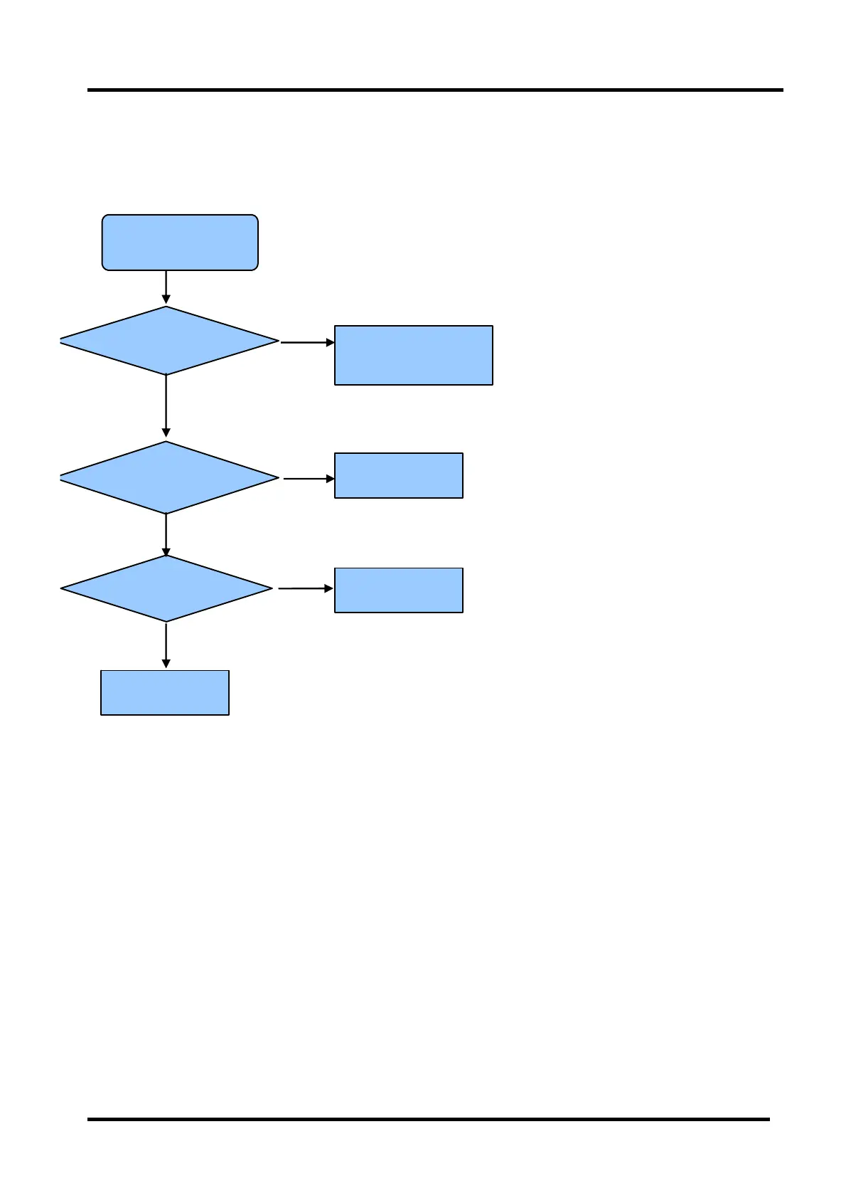
5.5 Troubleshooting for HDMI input
No picture on the screen
Check Signal Source
Check connect
Check cable
Replace main board
Make sure signal
source is available
Reconnect
Replace cable
NO
YES
YES
NO
NO

Related product manuals