EasyManua.ls Logo

Hisense BCD-535 W - Page 38

Hisense BCD-535 W
68 pages
Print Icon
To Next Page IconTo Next Page
To Next Page IconTo Next Page
To Previous Page IconTo Previous Page
To Previous Page IconTo Previous Page
Loading...
37
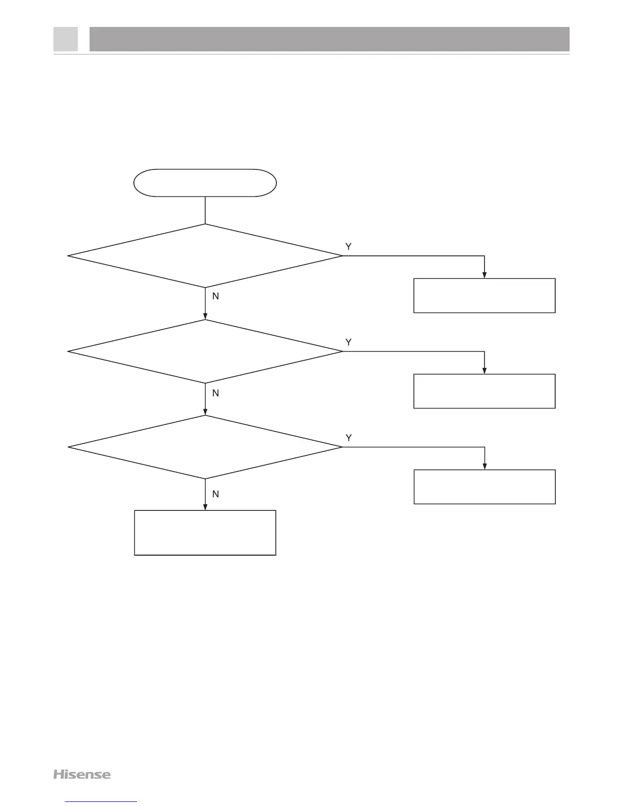
5.8 Noise
5.Troubleshooting
5.8.2 Refrigerator flowing noise
Is there hiss or sizzling sound
from refrigerant when comp.
starts/stops?
Is there sound from freezer
compartment when compressor’s
running?
Fasten the evaporator
Start
Is there water flowing or hiss
sound from the appliance?
Attache a gum absorber
on the capillary tube
Attach a gum absorber
on the accumulator
Explain to customer that
it is normal sound of
the running appliance

Related product manuals