EasyManua.ls Logo

Hisense LTDN40D50TAM - 6 Circuit Instruction; Power Assign and Main Board Signal Process

Hisense LTDN40D50TAM
42 pages
Print Icon
To Next Page IconTo Next Page
To Next Page IconTo Next Page
To Previous Page IconTo Previous Page
To Previous Page IconTo Previous Page
Loading...
- 33 -
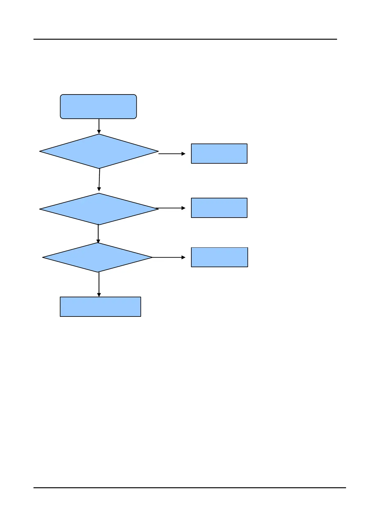
5.7 Troubleshooting for Video input
No picture on the screen
Check Source work or not
Check connect
Check Cable/ Wires
Replace main board
Check Signal Source
Reconnect
Replace Cable/Wires
NO
YES
YES
NO
YES
NO
6. Circuit instruction
Power assign and Main board signal process

Related product manuals