EasyManua.ls Logo

Icom IC-451A - Memory Scan; Programmed Scan

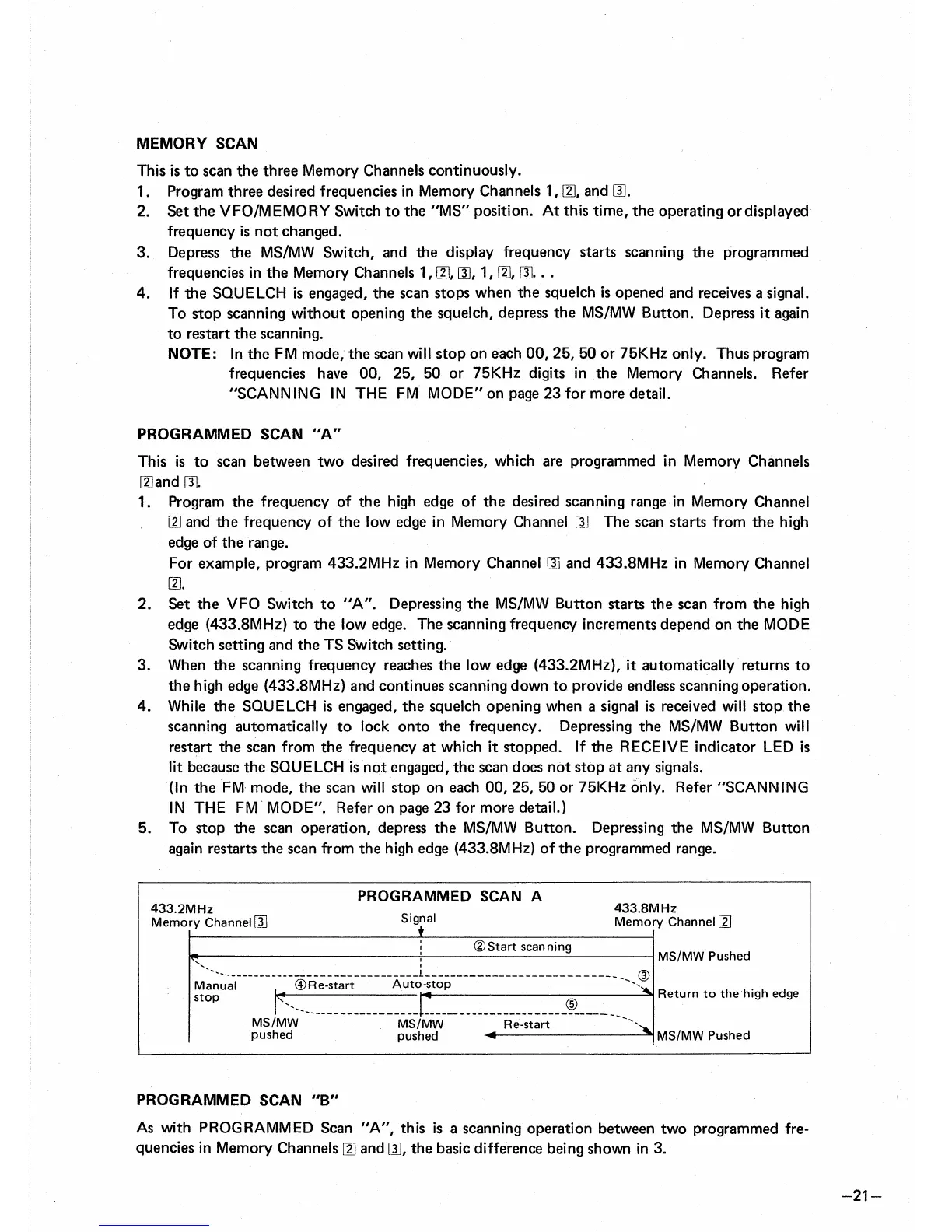
Icom IC-451A
40 pages
Print Icon
To Next Page IconTo Next Page
To Next Page IconTo Next Page
To Previous Page IconTo Previous Page
To Previous Page IconTo Previous Page
Loading...

Related product manuals