EasyManua.ls Logo

Ideal Boilers HE12 - Page 9

Ideal Boilers HE12
56 pages
Print Icon
To Next Page IconTo Next Page
To Next Page IconTo Next Page
To Previous Page IconTo Previous Page
To Previous Page IconTo Previous Page
Loading...
9
icos - Installation & Servicing
GENERAL
Single feed, indirect cylinders are not recommended and MUST
NOT be used on sealed systems.
The appliances are NOT suitable for gravity central heating nor
are they suitable for the provision of gravity domestic hot water.
The hot water cylinder and ancillary pipework, not forming part
of the useful heating surface, should be lagged to prevent heat
loss and any possible freezing - particularly where pipes run
through roof spaces and ventilated underfloor spaces.
The boiler must be vented.
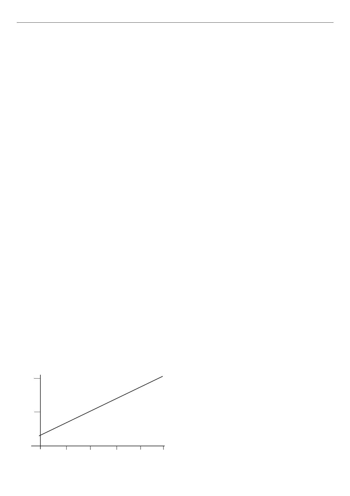
The hydraulic resistance of the boilers, at MAXIMUM OUTPUT,
with an 11
o
C (20
o
F) temperature differential, is shown in
Graph 1.
BOILER CONTROL INTERLOCKS
Caradon Ideal Limited recommend that heating systems
utilising full thermostatic radiator valve control of temperature in
individual rooms should also be fitted with a room thermostat
controlling the temperature in a space served by radiators not
fitted with such a valve as stated in BS. 5449.
Central heating systems controls should be installed to ensure
the boiler is switched off when there is no demand for heating
or hot water.
When thermostatic radiator valves are used, the space heating
temperature control over a living / dining area or hallway having
a heating requirement of at least 10% of the boiler heat output
should be achieved using a room thermostat, whilst other
rooms are individually controlled by thermostatic radiator
valves. However, if the system employs thermostatic radiator
valves on all radiators, or two port valves without end switches,
then a bypass circuit must be fitted with an automatic bypass
valve to ensure a flow of water should all valves be in the
closed position.
ELECTRICAL SUPPLY
WARNING.
This appliance must be earthed.
Wiring external to the appliance MUST be in accordance with
the current I.E.E. (BS.7671) Wiring Regulations and any local
regulations which apply. For Ireland reference should be made
to the current ETCI rules for electrical installations.
The point of connection to the mains should be readily
accessible and adjacent to the boiler.
CONDENSATE DRAIN - Refer to Frames 23 & 44
A condensate drain is provided on the boiler. This drain must be
connected to a drainage point. All pipework and fittings in the
condensate drainage system MUST be made of plastic - no
other materials may be used.
IMPORTANT.
Any external runs must be insulated.
The drain outlet on the boiler is standard 21.5mm (
3/4”)
overflow pipe.
TERMINAL
The terminal assembly can be adapted to accommodate
various wall thicknesses. Refer to Frame 14.
AIR SUPPLY
It is NOT necessary to have a purpose-provided air vent in the
room or internal space in which the boiler is installed. Neither is
it necessary to ventilate a cupboard or compartment in which the
boiler is installed, due to the low surface temperatures of the
boiler casing during operation; therefore the requirements of BS
6798, Clause 12, and BS 5440:2 may be disregarded. In IE the
requirements of I.S.813:2002 may be disregarded.
WATER CIRCULATION SYSTEM
IMPORTANT.
A minimum length of 1 metre of copper pipe MUST be fitted to
both flow and return connections from the boiler before
connection to any plastic piping.
For the types of system and correct piping procedure see
Frames 1, and 3 to 8.
The central heating system should be in accordance with
BS.6798 and, in addition, for smallbore and microbore systems,
BS.5449.
WATER TREATMENT - see Frame 9
The hot water storage cylinder MUST be of the indirect type and
should preferably be manufactured of copper.
Pressure Drop Across Boiler
(metres water)
0.5
1.0
Boiler Output (kW)
8.8 11.7 14.7 17.6 20.5
23.4
Ecl 1603
6. The air inlet/products outlet duct and the terminal of the
boiler MUST NOT be closer than 25mm (1") to combustible
material. Detailed recommendations on the protection of
combustible material are given in BS.5440-1:2000. In IE
refer to I.S.813:2002.
IMPORTANT.
It is absolutely ESSENTIAL to ensure, in practice, that products
of combustion discharging from the terminal cannot re-enter the
building or any other adjacent building through ventilators,
windows, doors, other sources of natural air infiltration, or forced
ventilation / air conditioning.
If this should occur the appliance MUST be turned OFF, labelled
as 'unsafe' until corrective action can be taken.
Graph 1 - Water flow rate and pressure loss
200212-10.pmd 9/5/2005, 8:58 AM9

Related product manuals