EasyManua.ls Logo

Inficon PEG100 - Appendix; A: Output Voltage Vs. Pressure

Inficon PEG100
24 pages
Print Icon
To Next Page IconTo Next Page
To Next Page IconTo Next Page
To Previous Page IconTo Previous Page
To Previous Page IconTo Previous Page
Loading...
tina14e1-a (2017-12) PEG100.om 19
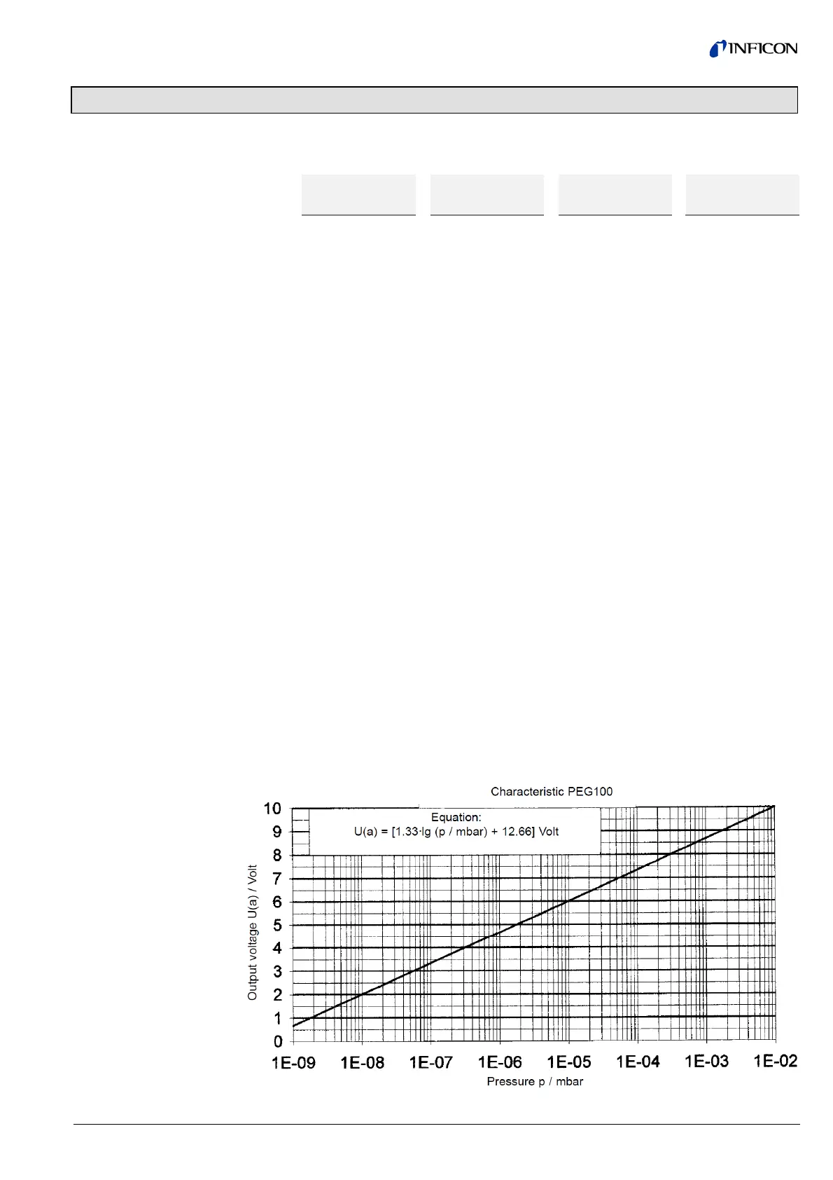
Appendix
(U = 0.4 V; "not ignited")
U (Out)
[V]
Pressure
[mbar]
U Out)
[V]
Pressure
[mbar]
U (Out)
[V]
Pressure
[mbar]
U (Out)
[V]
Pressure
[mbar]
0,667 1,00E-09 3,4 1,12E-07 6 1,00E-05 8,6 8,91E-04
0,8 1,26E-09 3,5 1,33E-07 6,1 1,19E-05 8,7 1,06E-03
1 1,78E-09 3,6 1,59E-07 6,2 1,41E-05 8,8 1,26E-03
1,1 2,11E-09 3,7 1,88E-07 6,3 1,68E-05 8,9 1,50E-03
1,2 2,51E-09 3,8 2,24E-07 6,4 2,00E-05 9 1,78E-03
1,3 2,99E-09 3,9 2,66E-07 6,5 2,37E-05 9,1 2,11E-03
1,4 3,55E-09 4 3,16E-07 6,6 2,82E-05 9,2 2,51E-03
1,5 4,22E-09 4,1 3,76E-07 6,7 3,35E-05 9,3 2,99E-03
1,6 5,01E-09 4,2 4,47E-07 6,8 3,98E-05 9,4 3,55E-03
1,7 5,96E-09 4,3 5,31E-07 6,9 4,73E-05 9,5 4,22E-03
1,8 7,08E-09 4,4 6,31E-07 7 5,62E-05 9,6 5,01E-03
1,9 8,41E-09 4,5 7,50E-07 7,1 6,68E-05 9,7 5,96E-03
2 1,00E-08 4,6 8,91E-07 7,2 7,94E-05 9,8 7,08E-03
2,1 1,19E-08 4,7 1,06E-06 7,3 9,44E-05 9,9 8,41E-03
2,2 1,41E-08 4,8 1,26E-06 7,4 1,12E-04 10 1,00E-02
2,3 1,68E-08 4,9 1,50E-06 7,5 1,33E-04
2,4 2,00E-08 5 1,78E-06 7,6 1,59E-04
2,5 2,37E-08 5,1 2,11E-06 7,7 1,88E-04
2,6 2,82E-08 5,2 2,51E-06 7,8 2,24E-04
2,7 3,35E-08 5,3 2,99E-06 7,9 2,66E-04
2,8 3,98E-08 5,4 3,55E-06 8 3,16E-04
2,9 4,73E-08 5,5 4,22E-06 8,1 3,76E-04
3 5,62E-08 5,6 5,01E-06 8,2 4,47E-04
3,1 6,68E-08 5,7 5,96E-06 8,3 5,31E-04
3,2 7,94E-08 5,8 7,08E-06 8,4 6,31E-04
3,3 9,44E-08 5,9 8,41E-06 8,5 7,50E-04
A: Output Voltage vs.
Pressure