EasyManua.ls Logo

Jetson FWCD Series - Condenser Flow vs. Pressure Drop

Jetson FWCD Series
96 pages
Print Icon
To Next Page IconTo Next Page
To Next Page IconTo Next Page
To Previous Page IconTo Previous Page
To Previous Page IconTo Previous Page
Loading...
Jetson
www.JetsonHVAC.com
56
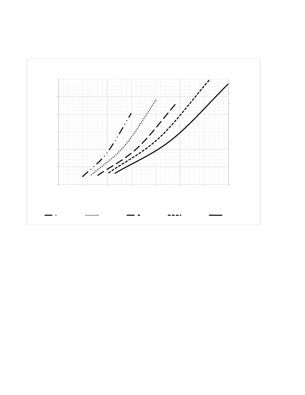
Figure 18 Brazed Plate Condenser Flow vs. Pressure Drop
0.00
5.00
10.00
15.00
20.00
25.00
0.00
10.00
20.00
30.00
40.00
50.00
60.00
0.00 50.00 100.00 150.00 200.00 250.00 300.00 350.00
Pressure Drop (psi)
Pressure Drop (ft. of water)
Flowrate (gpm)
Brazed Plate Condenser Flow vs Pressure Drop
30 ton 45 ton 55 ton 65 ton 75 ton

Table of Contents