EasyManua.ls Logo

JVC BD-X201MS - Registrazione E Visualizzazione DI Immagini Statiche (JPEG); Registrazione Delle Immagini Statiche Acquisite Dalla Riproduzione Su DVD

JVC BD-X201MS
498 pages
Print Icon
To Next Page IconTo Next Page
To Next Page IconTo Next Page
To Previous Page IconTo Previous Page
To Previous Page IconTo Previous Page
Loading...
I-43
Registrazione e visualizzazione di immagini statiche (JPEG)
Registrazione delle immagini statiche acquisite dalla riproduzione su DVD
Quando viene riprodotto un DVD non finalizzato, registrato con questo masterizzatore DVD, è possibile registrare le immagini statiche
sul disco. Sul disco deve essere disponibile spazio libero sufficiente. È possibile registrare fino a 1000 file di immagini statiche (JPEG) su
un singolo disco.
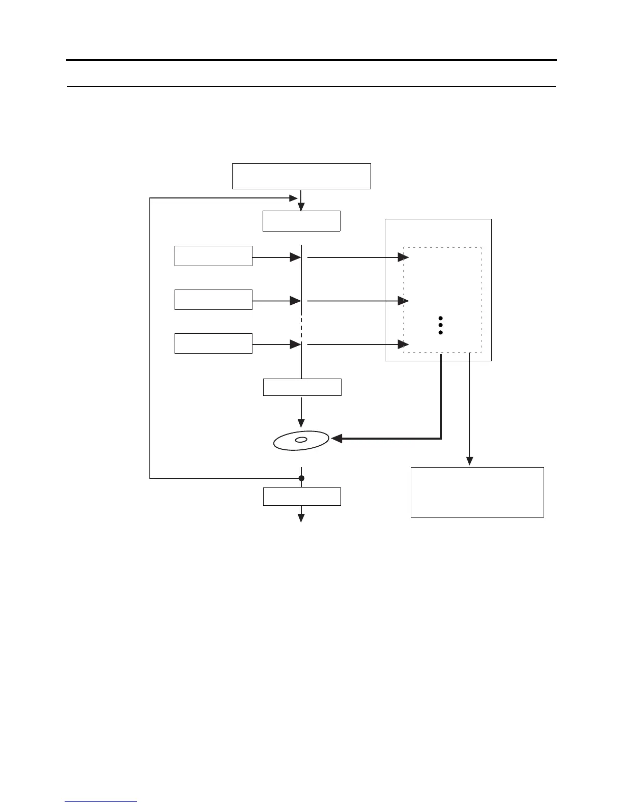
Per informazioni sulla procedura operativa, fare riferimento al diagramma seguente.
Acquisizione delle immagini statiche.
Se viene premuto il pulsante REC oppure viene ricevuto un segnale dal terminale FOOT SW 2 sul pannello posteriore durante la
riproduzione del DVD, l’immagine statica viene acquisita nella memoria interna del masterizzatore DVD.
Se si desidera utilizzare il terminale FOOT SW 2, impostare l’opzione FOOT SW 2 della schermata REMOTE MENU (1/2) su un’impo-
stazione diversa da OFF. (X Pagina 75)
Registrazione delle immagini statiche (JPEG) salvate in memoria sul disco.
I file delle immagini statiche (JPEG) salvati in memoria vengono automaticamente scritti nella cartella delle immagini sul disco nei casi
indicati di seguito.
Quando la riproduzione viene interrotta e il masterizzatore DVD passa in modalità di arresto.
A ciascuna immagine statica viene assegnato un nome file del tipo indicato di seguito.
Numero file_Anno registrazione/Mese/Giorno/Ora/Minuto/Secondo.jpg (esempio: 0001_20060313105310.jpg)
Anno registrazione/Mese/Giorno/Ora/Minuto/Secondo: la data e l’ora in cui è stata acquisita l’immagine statica
Viene acquisita l’I-picture per le immagini statiche. Di conseguenza, è possibile che ci sia un ritardo da 0 a 0,5 secondi tra l’immagine
acquisita e l’immagine visualizzata.
DVD registrato ma non finalizzato,
con spazio sufficiente
Pulsante PLAY
Pulsante REC
Pulsante REC
Pulsante REC
O terminale FOOT SW 2
Registrazione dei dati della cartella immagini sul disco
Finalizzazione
Le immagini statiche (JPEG) possono essere visualizzate su PC, ecc.
Se si preme il pulsante OPE-
RATE, i file delle immagini stati-
che vengono cancellati dalla
memoria e il masterizzatore DVD
passa in modalità OPERATE OFF.
Acquisizione 1
Acquisizione 2
Acquisizione N
Salvata nella memoria
del masterizzatore DVD
Immagine statica
Immagine statica
Immagine statica
Avvio della riproduzione
Pulsante STOP

Table of Contents

Related product manuals