EasyManua.ls Logo

JVC JA-S310 - Page 14

JVC JA-S310
23 pages
Print Icon
To Next Page IconTo Next Page
To Next Page IconTo Next Page
To Previous Page IconTo Previous Page
To Previous Page IconTo Previous Page
Loading...
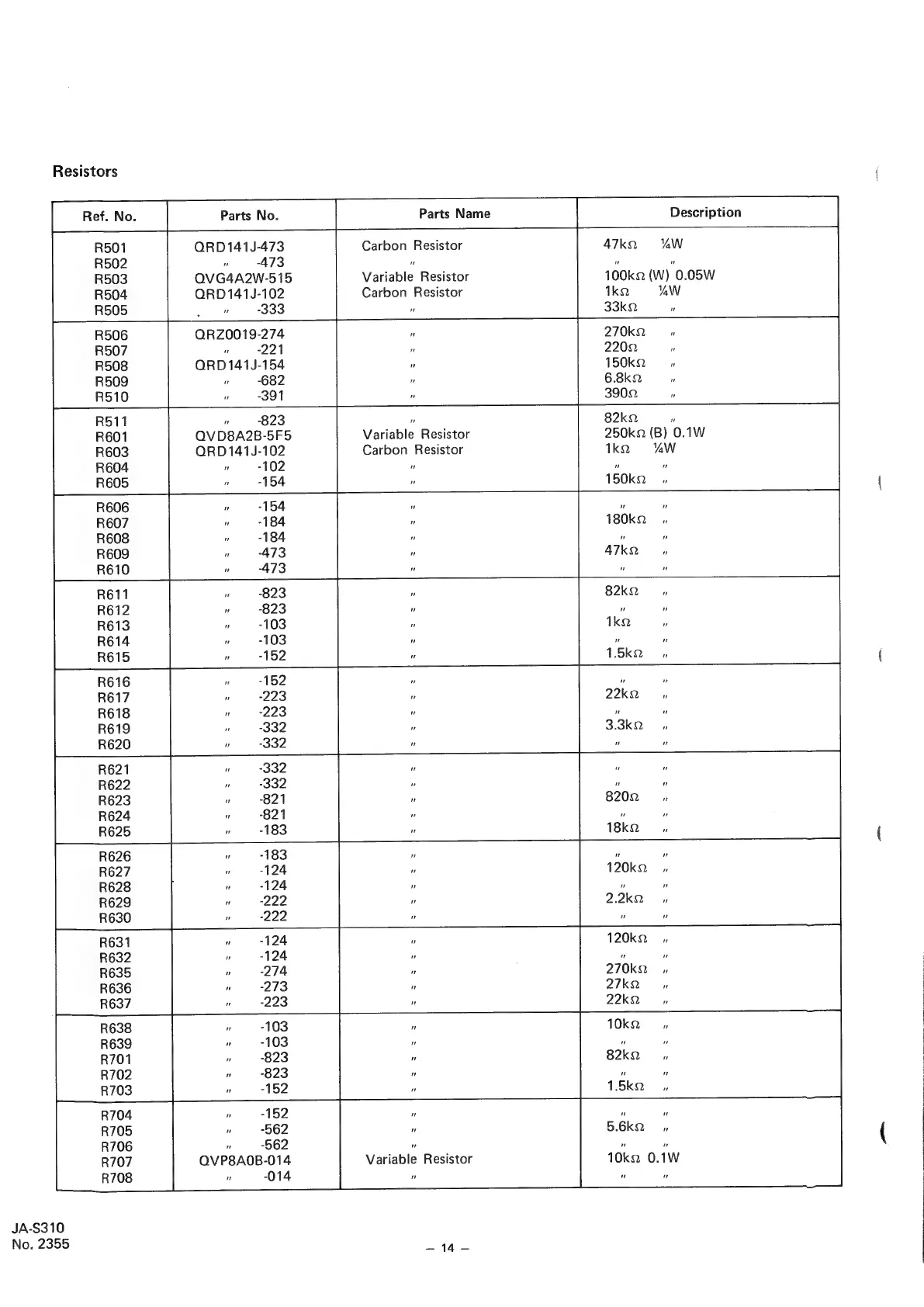
Resistors
JA-S310
No,
2355
QRD141J-473
I
OVG4A2W-515
QRD141J-102
»
-333
QRZ0019-274
"
-221
ORD141J-154
-682
"
-391
823
QVD8A2B-5F5
ORD141J-102
-102
-154
-152
562
»
862
QVP8A0B-014
»
014
Carbon
Resistor
Variable
Resistor
Carbon
Resistor
Variable
Resistor
Carbon
Resistor
Variable
Resistor
—~14—
47k2
%W
100ka
(W)
0.05W
1ka
YAW
33k2
F
82k2.
250ka
(B)
0.1W
1ka
‘%*¢W
150k2
10k2
0.1W

Related product manuals