EasyManua.ls Logo

Krell Industries 600 - Troubleshooting

Krell Industries 600
18 pages
Print Icon
To Next Page IconTo Next Page
To Next Page IconTo Next Page
To Previous Page IconTo Previous Page
To Previous Page IconTo Previous Page
Loading...
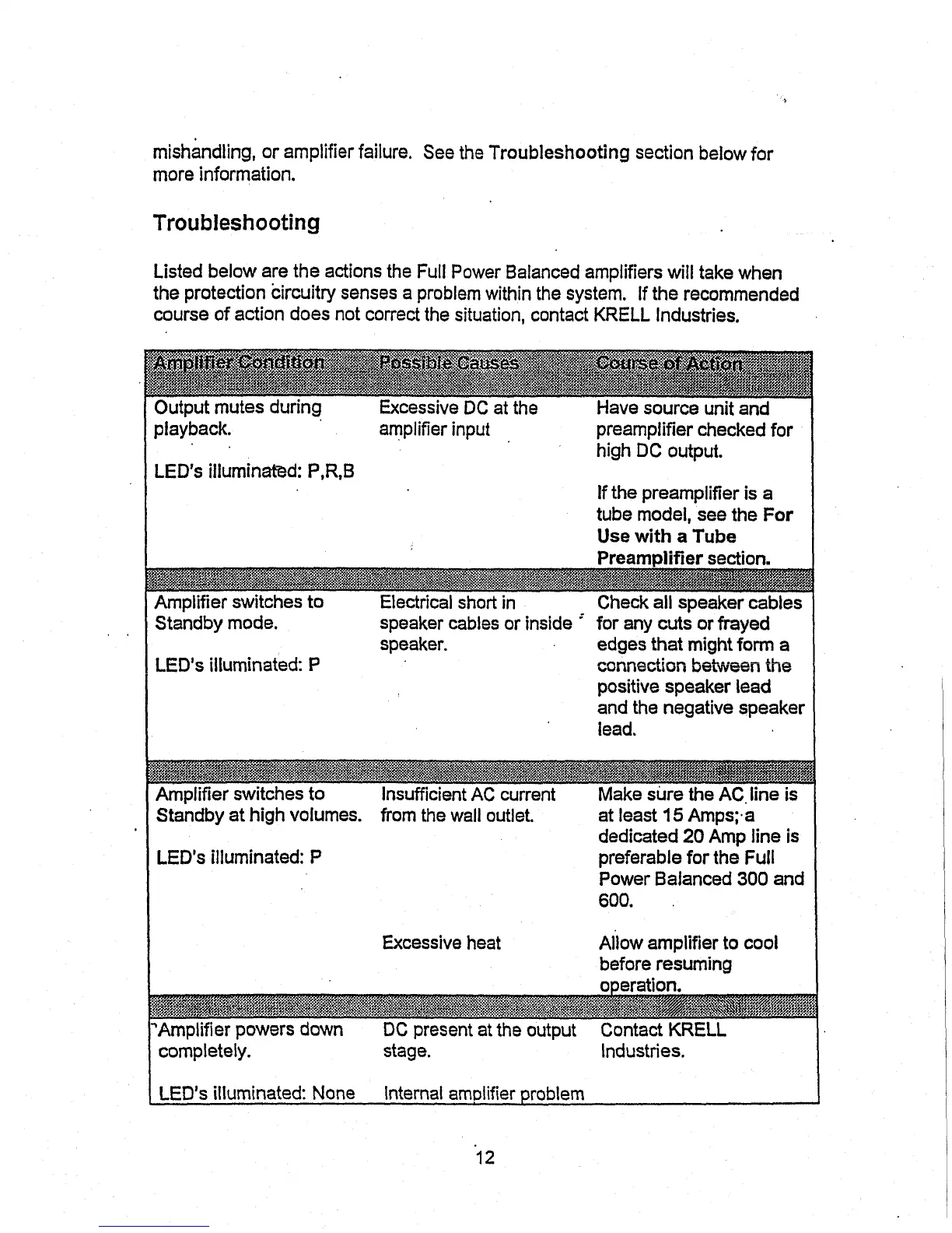
mishandling, or amplifier failure. See the Troubleshooting section below for
more information.
Troubleshooting
Listed below are the actions the Full Power Balanced amplifiers will take when
the protection Eircuitry senses a problem within the system. If the recommended
course of action does not correct the situation, contact KRELL Industries.
Output mutes during Excessive DC at the Have source unit and
playback, amPlifier input preamplifier checked for
high DC output.
LED’s illuminated: P,R,B
If the preamplifier is a
tube model, see the For
Use with a Tube
Preamplifier
section.
Amplifier switches to
Standby mode.
Electrical short in
speaker cables or inside :
speaker.
LED’s illuminated: P
Check all speaker cables
for any cuts or frayed
edges that might form a
...... ’="-"- between the
positive speaker lead
and the negative speaker
lead.
Amplifier switches to
Insufficient AC current Make sure the AC. line is
Standby at high volumes, from the wall outlet, at least 15 Amps;.a
dedicated 20 Amp line is
LED’s illuminated: P preferable for the Full
Power Balanced 300 and
600.
Excessive heat
Aliow amplifier to cool
before resuming
¯ ~
operation.
~Amplifier powers down DC present at the output Contact KRELL
completely, stage. Industries.
LED’s illuminated: None Interna.I amplifier problem

Related product manuals