EasyManua.ls Logo

LabJack UE9 - Page 11

LabJack UE9
86 pages
Print Icon
To Next Page IconTo Next Page
To Next Page IconTo Next Page
To Previous Page IconTo Previous Page
To Previous Page IconTo Previous Page
Loading...
Another variation is a 4-wire sensor where there are two signal wires (positive and negative) rather than one. If the negative signal
is the same as power ground, or can be shorted ground, then the positive signal can be connected to AINx and a measurement
can be made. A typical example where this does not work is a bridge type sensor, such as pressure sensor, providing the raw
bridge output (and no amplifier). In this case the signal voltage is the difference between the positive and negative signal, and the
negative signal cannot be shorted to ground. An instrumentation amplifier is required to convert the differential signal to signal-
ended, and probably also to amplify the signal.
2.7.3.4 - Signal Powered Externally
An example is a box with a wire coming out that is defined as a 0-5 volt analog signal and a second wire labeled as ground. The
signal is known to have 0-5 volts compared to the ground wire, but the complication is what is the voltage of the box ground
compared to the LabJack ground.
If the box is known to be electrically isolated from the LabJack, the box ground can simply be connected to LabJack GND. An
example would be if the box was plastic, powered by an internal battery, and does not have any wires besides the signal and
ground which are connected to AINx and GND on the LabJack. Such a case is obviously isolated and easy to keep isolated. In
practical applications, though, signals thought to be isolated are often not at all, or perhaps are isolated at some time but the
isolation is easily lost at another time.
If the box ground is known to be the same as the LabJack GND, then perhaps only the one signal wire needs to be connected to
the LabJack, but it generally does not hurt to go ahead and connect the ground wire to LabJack GND with a 100 Ω resistor. You
definitely do not want to connect the grounds without a resistor.
If little is known about the box ground, a DMM can be used to measure the voltage of box ground compared to LabJack GND. As
long as an extreme voltage is not measured, it is generally OK to connect the box ground to LabJack GND, but it is a good idea to
put in a 100 Ω series resistor to prevent large currents from flowing on the ground. Use a small wattage resistor (typically 1/8 or 1/4
watt) so that it blows if too much current does flow. The only current that should flow on the ground is the return of the analog input
bias current, which is on the order of nanoamps for the UE9.
The SGND terminal can be used instead of GND for externally powered signals. A series resistor is not needed as SGND is fused
to prevent overcurrent, but a resistor will eliminate confusion that can be caused if the fuse is tripping and resetting.
In general, if there is uncertainty, a good approach is to use a DMM to measure the voltage on each signal/ground wire without any
connections to the UE9. If no large voltages are noted, connect the ground to UE9 SGND with a 100 Ω series resistor. Then again
use the DMM to measure the voltage of each signal wire before connecting to the UE9.
Another good general rule is to use the minimum number of ground connections. For instance, if connecting 8 sensors powered by
the same external supply, or otherwise referred to the same external ground, only a single ground connection is needed to the
UE9. Perhaps the ground leads from the 8 sensors would be twisted together, and then a single wire would be connected to a 100
Ω resistor which is connected to UE9 ground.
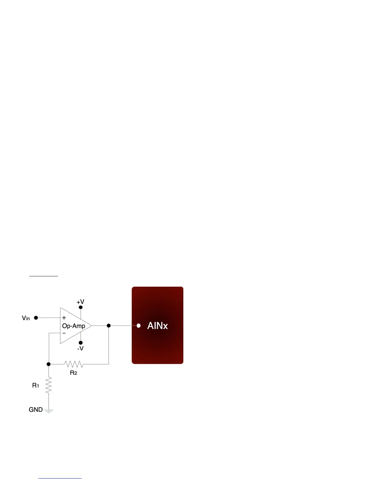
2.7.3.5 - Amplifying Small Signal Voltages
The best results are generally obtained when a signal voltage spans the full analog input range of the LabJack. If the signal is too
small it can be amplified before connecting to the LabJack. One good way to handle low-level signals such as thermocouples is
the LJTick-InAmp, which is a 2-channel instrumentation amplifier module that plugs into the UE9 screw-terminals.
For a do-it-yourself solution, the following figure shows an operational amplifier (op-amp) configured as non-inverting:
Figure 2-3. Non-Inverting Op-Amp Configuration
The gain of this configuration is:
Vout = Vin * (1 + (R2/R1))
100 kΩ is a typical value for R2. Note that if R2=0 (short-circuit) and R1=inf (not installed), a simple buffer with a gain equal to 1 is
the result.
11