EasyManua.ls Logo

Lauda IN 1590 XTW - Page 81

Default Icon
200 pages
Print Icon
To Next Page IconTo Next Page
To Next Page IconTo Next Page
To Previous Page IconTo Previous Page
To Previous Page IconTo Previous Page
Loading...
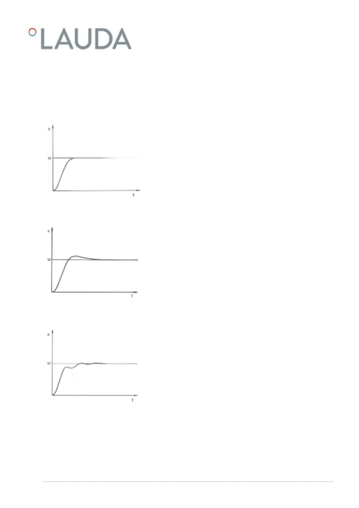
If the temperature range of an application is -20 to 80 °C, for example, a
control setting of -10 to 20 °C is most suitable.
If the Xp parameter selected is too large, the actual value will reach the
proportional range early and the P-component will be less than 100 % of
the actuating signal. It takes longer to reach the target value and as a result,
the simultaneously integrated I-component has more time to establish its
actuating signal component. Once the target value is reached, the excessive
addition of the I-component causes the value to overshoot the target value.
If proportional range Xp is reduced, the P-component remains at 100 %
for longer. Consequently, the actual value approaches the target value more
quickly and the I-component has less time to integrate the system deviation.
The overshoot is reduced.
If the proportional range selected is too small, the P-component of the
actuating signal remains at 100 % for a long time. This value decreases even
faster within the proportional range, i.e. the actuating signal decreases rapidly
and the progress of the actual value towards the target value comes almost
to a complete stop. The I-component, which only becomes eective now,
causes the actual value to move slowly towards the target value.
Influence of control parameters on the
control action
Fig. 39: Ideal setting
Fig. 40: Control parameter Xp too large
Fig. 41: Control parameter Xp too small
V6 Integral Process Thermostats and High-Temperature Thermostats 81 / 198

Table of Contents

Related product manuals