EasyManua.ls Logo

Lennox XP17-036-230-02

Lennox XP17-036-230-02
83 pages
To Next Page IconTo Next Page
To Next Page IconTo Next Page
To Previous Page IconTo Previous Page
To Previous Page IconTo Previous Page
Loading...
Page 54
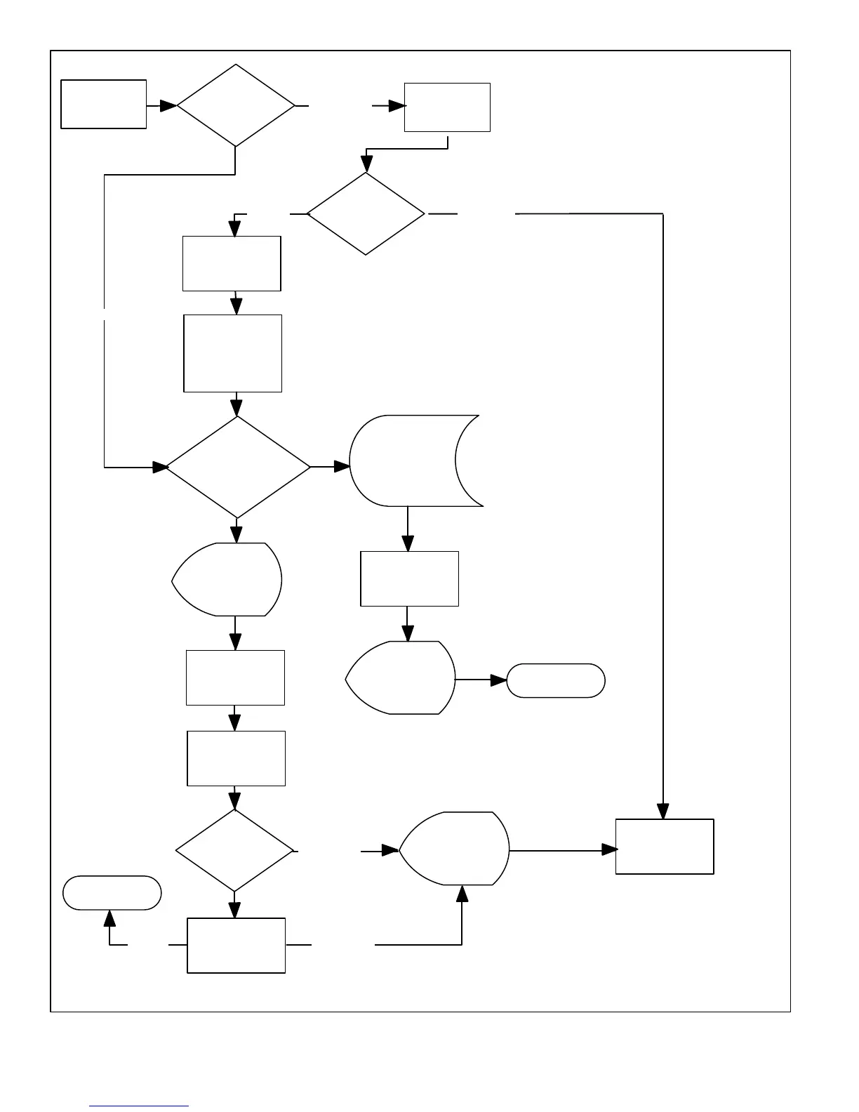
XP17
Y1 DEMAND
HIGH
PRESSURE
SWITCH (S4)
COMPRESSOR
CONTACTOR
ENERGIZED
HIGH
PRESSURE
SWITCH (S4)
COMPRESSOR
CONTACTOR
DE-ENERGIZED
COMPRESSOR
ANTI-SHORT
CYCLE TIMER
BEGINS
INCREMENT
5-STRIKE
COUNTER
1
LED ALERT
CODE / OR
MODERATE
ALERT 412
DISPLAYED
ANTI-SHORT
CYCLE TIMER
ENDS
COMPRESSOR
CONTACTOR
ENERGIZED
HIGH
PRESSURE
SWITCH (S4)
WAITING FOR
PRESSURE
SWITCH TO
CLOSE
5-STRIKE
COUNTER
REACHES 5
WITHIN A SINGLE
Y1 DEMAND
HIGH
PRESSURE
SWITCH (S4)
LOCKOUT
LED ALERT
CODE / OR
CRITICAL
ALERT 413
CLEARED
SERVICE
REQUIRED
2
LED ALERT
CODE / OR
MODERATE
ALERT 412
DISPLAYED
SERVICE
REQUIRED
2
NORMAL
OPERATION
CLOSED
CLOSED
OPEN
OPEN
1
If 5-strike counter has four or less strikes when Y1 demand
is terminated or satisfied, the strike counter will reset to
zero. In a iComfort-enabled thermostat enabled setup,
the thermostat will terminate demand when the compressor
contactor is de-energized. If demand is satisfied when
alarm is not active, the 5-strike counter will reset.
2
Lockouts can be reset by either cycling power off to the
heat pump control's (A175) R terminal, or placing a jumper
on the field test pins (E33) between 1 to 2 seconds.
OPEN
CLOSED
CLOSED
Figure 31. High Pressure Switch (S4) Sequence of Operation

Related product manuals